Найти в Дзене
Войти
1,0×
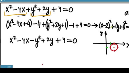
Приведение к каноническому виду и чертёж: немного общих слов и пара примеров (эллипс и гипербола)
1961 просмотр · 3 года назад
00:00
/
22:17
Математика для хомяков
2861 подписчиков
Подписаться
Хотите видеть больше публикаций по теме «Наука»?
Давайте
Наука
7 млн интересуются
Следить за темой
3227599095.1863.1766239902628.40964