Найти в Дзене
Войти
1,0×
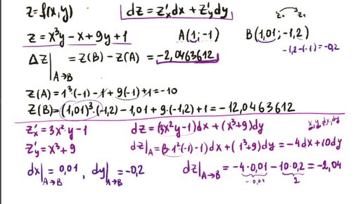
дифференциал ФНП
435 просмотров · 3 года назад
00:00
/
20:49
Математика для хомяков
2820 подписчиков
Подписаться
Хотите видеть больше публикаций по теме «Наука»?
Давайте
Наука
7 млн интересуются
Следить за темой
3013874874.1498.1761515403732.39356