Найти в Дзене
Войти
1,0×
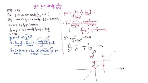
Исследование функции: arctg(1/x) (функция со скачком)
157 просмотров · 3 года назад
00:00
/
22:12
Математика для хомяков
2861 подписчиков
Подписаться
Хотите видеть больше публикаций по теме «Образование»?
Давайте
Наука
7 млн интересуются
Следить за темой
3746239397.2003.1766000719036.64744