Найти в Дзене
Войти
1,0×
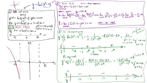
Исследование функции ln|x^2-1|
195 просмотров · 3 года назад
00:00
/
25:08
Математика для хомяков
2857 подписчиков
Подписаться
Хотите видеть больше публикаций по теме «Наука»?
Давайте
Наука
7 млн интересуются
Следить за темой
2828632655.1794.1765750543604.29924