Найти в Дзене
Войти
1,0×
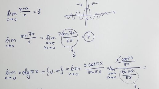
Вычисление пределов. Первый замечательный предел
580 просмотров · 3 года назад
00:00
/
03:41
Михаил Рыбков
2292 подписчиков
Подписаться
Хотите видеть больше публикаций по теме «Наука»?
Давайте
Предел, производная
Подборка ·
Михаил Рыбков
· 15 из
19
Далее: Вычисление пределов. Таблица эквивалентнтных бесконечно малых
Предел, производная
· 15 из
19
Наука
7 млн интересуются
Следить за темой
556724034.1765.1765135573532.67820