Найти в Дзене
Войти
1,0×
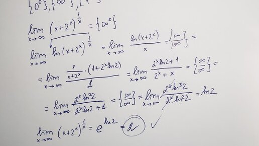
Правило Лопиталя. Раскрытие неопределенностей. Неопределенность вида "ноль в степени бесконечность"
725 просмотров · 3 года назад
00:00
/
05:03
Михаил Рыбков
2293 подписчиков
Подписаться
Хотите видеть больше публикаций по теме «Наука»?
Давайте
Предел, производная
Подборка ·
Михаил Рыбков
· 1 из
19
Далее: Правило Лопиталя. Раскрытие неопределенностей. Неопределенность вида "ноль умножить на бесконечность"
Предел, производная
· 1 из
19
Наука
7 млн интересуются
Следить за темой
89860285.1790.1765574106217.41417