Найти в Дзене
Войти
1,0×
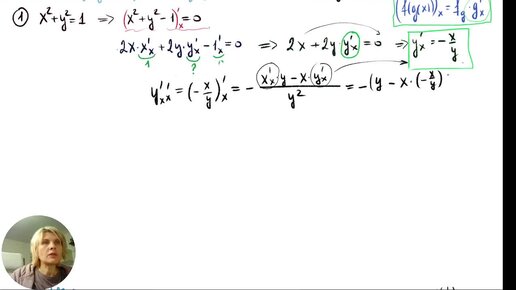
Дифференцирование функции, заданной неявно или параметрически
365 просмотров · 3 года назад
00:00
/
25:56
Математика для хомяков
2927 подписчиков
Подписаться
Хотите видеть больше публикаций по теме «Образование»?
Давайте
Наука
7 млн интересуются
Следить за темой
3175394817.2372.1772028389970.93070