Найти в Дзене
Войти
1,0×
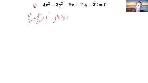
Кривые второго порядка. Эллипс. Приведение к каноническому виду и чертеж
645 просмотров · 3 года назад
00:00
/
13:25
Михаил Рыбков
2312 подписчиков
Подписаться
Хотите видеть больше публикаций по теме «Образование»?
Давайте
Векторная алгебра и Аналитическая геометрия
Подборка ·
Михаил Рыбков
· 4 из
12
Далее: Кривые второго порядка. Гипербола
Векторная алгебра и Аналитическая геометрия
· 4 из
12
Наука
7 млн интересуются
Следить за темой
2623975490.2011.1772445584043.80344