Найти в Дзене
Войти
1,0×
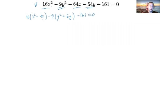
Кривые второго порядка. Гипербола. Приведение к каноническому виду и чертеж
875 просмотров · 3 года назад
00:00
/
12:08
Михаил Рыбков
2304 подписчиков
Подписаться
Хотите видеть больше публикаций по теме «Образование»?
Давайте
Векторная алгебра и Аналитическая геометрия
Подборка ·
Михаил Рыбков
· 3 из
12
Далее: Кривые второго порядка. Эллипс. Приведение к каноническому виду и чертеж
Векторная алгебра и Аналитическая геометрия
· 3 из
12
Наука
7 млн интересуются
Следить за темой
4234731669.1900.1767564001491.92121