Найти в Дзене
Войти
1,0×
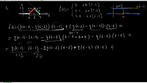
Операционка: Теорема запаздывания
199 просмотров · 4 года назад
00:00
/
20:31
Математика для хомяков
2934 подписчиков
Подписаться
Хотите видеть больше публикаций по теме «Наука»?
Давайте
Операционное исчисление
Подборка ·
Математика для хомяков
· 3 из
32
Далее: Операционка: умножение изображений и формула Дюамеля
Операционное исчисление
· 3 из
32
Наука
7 млн интересуются
Следить за темой
3929810250.1951.1772406431250.12894