Найти в Дзене
Войти
1,0×
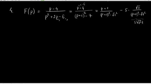
Операционка: Теорема затухания
192 просмотра · 4 года назад
00:00
/
14:20
Математика для хомяков
3011 подписчиков
Подписаться
Хотите видеть больше публикаций по теме «Образование»?
Давайте
Операционное исчисление
Подборка ·
Математика для хомяков
· 2 из
32
Далее: Операционка: Теорема запаздывания
Операционное исчисление
· 2 из
32
Наука
7 млн интересуются
Следить за темой
2646513550.768.1774715153722.63443