Повышаем качество урожая - НОРМИРОВКА ПОБЕГАМИ
Урок 2. Что такое кубит?
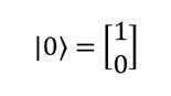
Если вы не программируете на самом низком уровне, то вполне можете забыть, что любые программы, по сути, лишь манипулируют нулями и единицами, которые хранятся в наших «классических» компьютерах. Этим нулям и единицам соответствуют дискретные бинарные состояния физических систем. Квантовые компьютеры работают с непрерывными диапазонами состояний. Отчасти их возможности обусловлены именно этим. В упрощенном описании квантовые состояния (кубиты) - это векторы-столбцы.
Действия над векторами - это унитарные матрицы...
Сроки выломки зелёных побегов винограда
Здравствуйте, с Вами снова Владимир Маер. В данном выпуске я расскажу Вам о выломке (нормировке) винограда зелёными побегами. А именно я расскажу о сроках, когда необходимо производить нормировку винограда зелёными побегами. На фотографиях в этом выпуске я покажу Вам виноградник (Преображение, Кеша и Юлиан), который не пострадал от возвратных заморозков, и на котором уже скоро нужно будет производить нормировку. Это стало возможным благодаря тому, что он расположен во дворе близко к бетонному забору и дому...