Какие уравнения можно назвать равносильными?
Метод рационализации при решении неравенств на профильном ЕГЭ по математике
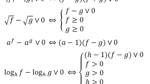
Разные названия одного метода В различных пособиях этот метод называют по-разному: Я не смог обнаружить существенных различий между всеми этими методами, поэтому предлагаю считать всё вышеперечисленное разными названиями одного и того же метода. Далее я буду использовать название "метод рационализации". Основная идея Основная идея метода рационализации в том, чтобы перейти от решения исходного "сложного" неравенства (логарифмического, показательного или смешанного) к решению более простого (как правило, дробно-рационального) неравенства, которое можно решить методом интервалов...
«Спартак»-«Ростов» 1-1. Возможно, и не заслужили оваций, но точно не заслужили проклятий! Разбор игры.
Перед матчем прочитал высказывание одного из экспертов – «Ростов» будет играть в манере Карпина с высоким прессингом с первых минут. Что ж при Карпине так оно и было. Линия обороны располагалась высоко, а потому часто пропускали после контратак, что было, в том числе и в игре прошлого сезона в Москве, когда мы победили 3-0. У Карпина с той поры ничто не изменилось. Его «Динамо» единственная команда, которая в этом чемпионате практически равное время владела мячом в игре с «красно-белыми» - 52% на 48 в пользу «Спартака»...