28.8 класс, 28 урок, Рациональные уравнения как математические модели реальных ситуаций
Рациональные уравнения
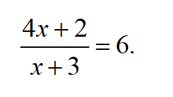
Рациональное уравнение — это вид уравнения, в котором присутствует дробь, и переменная x находится в знаменателе этой дроби. Приведем пример рациональных уравнений: Как решать такие уравнения? Здесь надо избавиться от знаменателя. То есть надо умножить все уравнение на выражение, находящееся в знаменателе (чтобы знаменатель сократился). Давайте разберем это на конкретном примере. Пример 1. Решим уравнение Решение. В правой части уравнения находится дробь со знаменателем x + 3. Умножим все уравнение на x + 3 и получим линейное уравнение...