328 читали · 5 лет назад
Аппроксимация функции нормального распределения
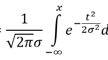
Функция нормального распределения очень востребована в научных и инженерных расчётах. Однако её для неё не существует аналитической записи. Выражается она через интеграл. Поэтому при работе с ней приходится пользоваться численными расчётами...
4989 читали · 5 лет назад
Построение выборочной функции распределения в Excel
Выборочный метод и выборочная функция распределения На практике часто бывают ситуации, когда полное исследование каждого объекта из интересующей совокупности по различным причинам невозможно. В этих случаях из всей совокупности объектов случайным образом отбирают ограниченное число объектов и подвергают их исследованию. Вся совокупность объектов, из которых производится выборка называется генеральной совокупностью. Совокупность случайно отобранных из генеральной совокупности объектов называется выборочной совокупностью...