Метод рационализации | Как решать логарифмические неравенства? (ЧАСТЬ 1)
Когда ОДЗ логарифмического неравенства найти сложно. Задание №15 из ЕГЭ 2022.
Сегодня рассмотрим задание №15 из профильного варианта ЕГЭ 2022, это задание высокого уровня сложности, которое показывает хитрый случай определения ОДЗ в логарифмическом неравенстве. Напоминаю, для подписчиков предусмотрена возможность получения решений в «вордовском» .DOCX формате со стандартными формулами и рисунками. Кому требуется, делайте запросы в комментариях – я предоставлю файл. Общий список заданий, разобранных на канале, приведён здесь. Задание Решите неравенство: Рассуждаем В целом неравенство...
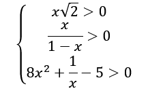
Система неравенств с логарифмом и рациональной функцией. Тестовое задание для ЕГЭ №4139.
Сегодня мы разберём задание №4139 из банка тестовых заданий для ЕГЭ ФИПИ. Это задание «повышенного» уровня сложности. Напоминаю, для подписчиков предусмотрена возможность получения решений в «вордовском» .DOCX формате со стандартными формулами и рисунками. Кому требуется, делайте запросы в комментариях – я предоставлю файл. Общий список заданий, разобранных на канале, приведён здесь. Задание Решите систему неравенств: Рассуждаем Система довольно громоздкая. В первом логарифмическом неравенстве неизвестная стоит не только в подлогарифмическом выражении, но и в основании...