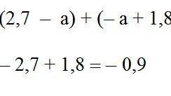
Примеры 1090 (3) и 1090 (4) из учебника по математике для 6-го класса (автор А. Г. Мерзляк)
Уважаемые мамы и папы, дедушки и бабушки! В статье «Раскрытие скобок», от 26-го августа 2022 года мы познакомились с двумя правилами §39 учебника. Предлагаю закрепить эти правила решением примеров 1090 (3) и 1090 (4) из 7-го издания учебника по математике для 6-го класса авторов А. Г. Мерзляка, В. Б. Полонского и М. С. Якира под редакцией. В. Е Подольского. Пример 1090 ( 3 ): Раскройте скобки и упростите выражение: – (2,7 – a) + (– a + 1,8) Решение: В этом примере надо раскрыть две пары скобок. Перед первой парой стоит знак «–», а перед второй – знак «+»...