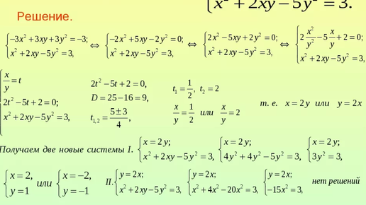
Решение уравнений, приводящихся к квадратным. Решение систем уравнений. Видеоурок #5
Как решить квадратное уравнение с модулем: простые шаги и практичные советы
Задумывались, как решать квадратные уравнения с модулем, чтобы не теряться в сложных формулах и не запутаться в процессе? Кажется, что это сложно, но на самом деле есть несколько простых лайфхаков, которые помогут вам справиться с любой задачей! Если вы хотите научиться решать такие уравнения быстро и без стресса, читайте дальше. ✔ Наша группа ВК заходите и подписывайтесь: 👉 ВК Учись Легко
✔ Наш Telegram-канал с новостями, подписывайтесь: 👉 Учись Легко Прежде чем начать, давайте разберемся, что такое квадратное уравнение с модулем...
Как решить квадратные уравнения? Простые примеры для школьников и студентов!
Согласитесь, все мы когда-то сталкивались с задачей решения квадратных уравнений. И как бы не было страшно вначале, решение на самом деле проще, чем кажется! Но почему же многие до сих пор боятся этих формул и методов? Давайте разберемся, как легко и быстро можно освоить решение квадратных уравнений с помощью нескольких простых шагов и примеров. ✔ Наша группа ВК заходите и подписывайтесь: 👉 ВК Учись Легко
✔ Наш Telegram-канал с новостями, подписывайтесь: 👉 Учись Легко Квадратные уравнения — это...