Основное правило умножения дробей - не начинать сразу умножать. Разбираем как решать такие примеры правильно и легко
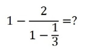
3 примера с многоэтажными дробями. Прекрасная разминка для ума
Доброе время суток, уважаемый читатель! Готовы заняться гимнастикой для ума? У меня для вас свеженькие задания:) Сегодня предлагаю Вам вспомнить, как решаются примеры с многоэтажными дробями. Это будет полезно не только в качестве разминки для ума, но и может пригодиться в жизненных ситуациях! Двойная польза,так сказать😉. Перед тем, как Вы начнете решать примеры, рекомендую Вам посмотреть мое видео о том, как правильно складывать дроби с разными знаменателями...
как решать дроби
Для решения дробей, вы можете использовать различные методы:
1. Сложение и вычитание дробей:
- Убедитесь, что знаменатели дробей одинаковы.
- Сложите или вычтите числители дробей.
- Оставьте знаменатель без изменения.
2. Умножение дробей:
- Умножьте числители дробей.
- Умножьте знаменатели дробей.
- Результат может потребоваться упростить, если это возможно.
3. Деление дробей:
- Инвертируйте делитель, то есть поменяйте местами числитель и знаменатель.
- Перейдите к умножению дробей после инверсии делителя.
4. Сокращение дроби:
- Найдите наибольший общий делитель (НОД) числителя и знаменателя...