• Главная
  • Подписки
  • Найти
  • Новости
  • Статьи
  • Видео
  • Ролики
  • Видеоигры
  • Детям
Всё о ДзенеВакансииДзен на iOS и Android
ВсёНовостиТемыКаналыВидео и РоликиСтатьи и Посты
Общество
05:46
1,0×
00:00/05:46
Репетитор по математике Елизавета
677 смотрели · 7 месяцев назад
Как здесь применить формулу a² - b²=(a-b)(a+b) и играючи посчитать пример?
СпецКурс
1 год назад
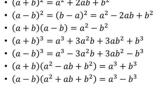
Формулы сокращённого умножения
•(а+б)²=а²+2аб+б² •(а-б)²=(б-а)²=а²-2аб+b² •(а+б)(а-б)=а²-б² •(а+б)³=а³+3а²б+3аб²+б³ •(а-б)³=а³-3а²б+3аб²-б³ •(а+б)(а²-аб+б²)=а³+б³ •(а-б)(а²+аб+б²)=а³-б³
00:52
1,0×
00:00/00:52
Айгузаль Тороева
4 года назад
Составление формул
Также ищут
левофлоксацин почему нельзя на солнцене верная сумма или неверная как пишетсяорландо блум почему не снимаетсяпочему 1 яйцо выше другогопочему windows 10 продают дешево
3077637118.1303.1765305123334.25949