272 читали · 1 месяц назад
Как работает компьютер? Часть 23. От логики к алгоритмам.
Предыдущий урок: Как работает компьютер? Часть 22. Комбинирование логических элементов. Теперь, когда мы изучили, как работают базовые логические элементы компьютера — И, ИЛИ и НЕ, а также как их можно комбинировать, пора понять, как из этих простых блоков строятся алгоритмы, то есть последовательности действий, которые компьютер выполняет для решения задач. Алгоритмы — это то, как компьютер «думает» и принимает решения, используя логику, которую мы рассматривали в предыдущих разделах. В жизни мы часто принимаем решения, даже не замечая, что это алгоритмы...
190 читали · 1 месяц назад
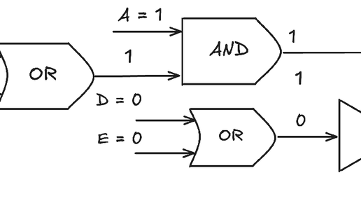
Как работает компьютер? Часть 22. Комбинирование логических элементов.
Предыдущий урок: Как работает компьютер? Часть 21. Логические элементы. Мы изучили три базовых логических элемента: И (AND), ИЛИ (OR) и НЕ (NOT). Теперь пришло время понять, как их можно комбинировать. В компьютере именно комбинация этих элементов позволяет выполнять все вычисления и программы. Каждый элемент сам по себе простой, но вместе они создают сложные цепочки, которые управляют процессором и всем устройством. Представьте, что вы собираетесь построить мини-робота. Робот должен двигаться только...