11,5 тыс читали · 7 лет назад
Секретная шпаргалка по химии. 3.4 Избыток-недостаток
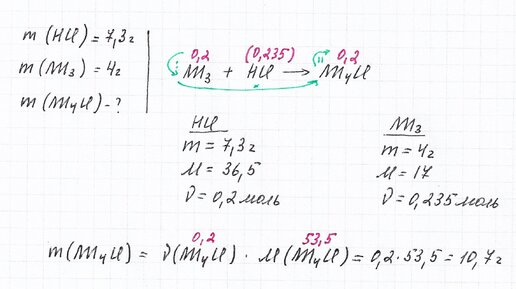
"Я не сдам ЕГЭ, потому что у меня нет таланта! У Кати талант есть, у Паши - тоже есть, а у меня нет!" Сколько раз каждый из вас так думал? Много? Ха-Ха и еще раз Ха-Ха! Марк Твен говорил: «Существует тысяча причин для того, чтобы себя оправдать, но ни одной реальной». Секрет таланта и успеха на ЕГЭ я раскрою в конце статьи, а пока продолжаем изучать Стехиометрию. Сегодня разберемся с деликатной темой: избыток-недостаток в расчетах по уравнениям реакций. В ряде задач представлены данные для обоих реагентов...
06:44
1,0×
00:00/06:44
766,2 тыс смотрели · 4 года назад
260 читали · 4 года назад
Задачи на избыток и недостаток веществ в химических реакциях
Вещества вступают в химическую реакцию в тех количествах, которые пропорциональны стехиометрическим коэффициентам в уравнении химической реакции. Стехиометрические коэффициенты – числовые значения, обозначающие количество вещества реагента, вступающего в химическую реакцию, а также количество вещества продукта реакции, образующегося в результате данной химической реакции. А что будет, если вступает в реакцию всего 1 моль водорода? Очевидно, кислорода в этом случае понадобиться в 2 раза меньше,...