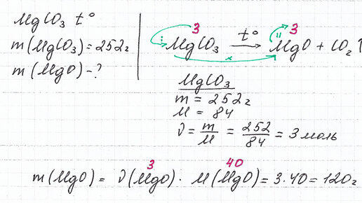
Как расставлять коэффициенты в уравнениях химических реакций
Химия - с нуля! 4-й шаг. Легкие расчеты по уравнениям реакций. Неужели, так можно?!
Вы хотите познавать химию и профессионально, и с удовольствием? Тогда вам сюда! Автор методики системно-аналитического изучения химии Богунова В. Г. Раскрывает тайны решения задач, делится секретами мастерства...
Задача №32 ЕГЭ по химии: подробный разбор
В данной статье представлен пример решения задачи №32 ЕГЭ по химии с подробными пояснениями (а кто дочитает статью до конца, узнает, как расставлять коэффициенты в уравнениях окислительно-восстановительных реакций с участием органических веществ) Задача №32 – это задание на составление уравнений органических реакций. Для выполнения этой задачи нужно хорошо знать химические свойства разных классов органических соединений и ориентироваться в их взаимных превращениях. В некоторых случаях недостаток...