Как найти производную сложной функции. Подробное решение примера. Простой способ. Понятное объяснение
Логарифм куба или куб логарифма? Тестовое задание для ЕГЭ №4337.
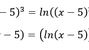
Как мне кажется, целесообразно чередовать сложные и несложные задания. Прошлое задание было сложным. Значит, сегодня мы разберём несложное задание №4337 (хотя оно и отнесено к «повышенной сложности»). Но, несмотря на его простоту, в нём имеется одна важная тонкость, которая (если её не учесть) может привести к неприятным, совершенно глупым ошибкам. Напомню, поскольку Дзен плохо поддерживает формулы – я использую скриншоты из редактора. В дальнейшем для подписчиков планируется возможность получения решений в ...
Найти производную сложной функции
Не всегда в сборниках можно найти трудные номера для тренировки навыков дифференцирования. Обычно все они доходят до уровня производной дроби или многослойных логарифмов, тригонометрических функций и так далее...