Что такое ОДЗ!? Зачем оно нужно!? Как его понять!?
ОДЗ - что это такое и с чем ее едят :)
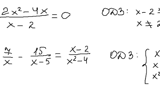
ОДЗ -область допустимых значений , если простым языком для чего это, для того чтобы указать ограничения неизвестного в нашем уравнении. Именно об уравнениях с ОДЗ мне бы и хотелось написать в этой статье...
ОДЗ: практическое руководство для понимания допустимых значений в математике и их применения
Область допустимых значений (ОДЗ) играет важную роль в математике. Она указывает на множество всех возможных значений переменных, которые могут быть использованы в уравнении, чтобы получить решение, которое имеет смысл в контексте задачи. Например, если посмотреть на уравнение: x²=4 то при решении получим два значения: x = 2 и x = -2. Однако, если мы рассматривать это уравнение в контексте геометрической задачи, где х - сторона квадрата с площадью 4, то значение x = -2 не имеет смысла, потому что длина стороны квадрата не может быть отрицательной...