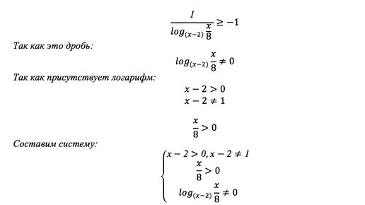
Поиск ОДЗ функции с логарифмами и корнями
Что такое ОДЗ? (часть 1)
В этой статье я подробно расскажу о том, что такое область допустимых значений (ОДЗ) выражения, опишу, как ее искать, приведу несколько примеров с поиском ОДЗ выражений, содержащих дроби, корни четных степеней и логарифмы...
Потерялся питомец: как искать, звонить и не терять время
Если коротко: когда животное пропадает, каждая минута — как золото. И, к сожалению, большинство людей тратят первые часы на панику. Я видел сотни случаев, когда кошка находилась в двух дворах, а собаку возвращали спустя неделю — просто потому, что хозяин не знал, с чего начать. Поэтому я собрал пошаговый план — без паники, без «авось», без мифов вроде «сам вернётся». Первая реакция: «Всё! Конец!». Дышим. Берём поводок, лакомство, фонарик (если темно) — и идём искать в ближайшие 200 метров. Зачем сразу? Потому что 80% животных в первые часы находятся в радиусе 1 км...