Как доказать тождество sin2α-tgα=cos2αtgα. Понятное объяснение. Тригонометрия 10 класс
Школьные задачи / Алгебра / А-102
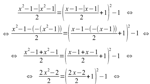
Докажите, что для любого действительного x выполняется тождество: Для доказательства полезно заметить, что замена x на –x не влияет на вид тождества: Это означает, что если тождество верно при x = a, где a – положительное число, то оно также будет верно и при x = –a. В связи с этим достаточно показать справедливость тождества при x ⩾ 0. В этом случае |x| = x и равенство немного упростится: При неотрицательных x оба подмодульных выражения (x² – 1) и (x – 1) меняют знак при x = 1, поэтому рассмотрим два случая...
Что такое тождество ?
Приветствую вас, мои дорогие друзья, вы на канале Rook.com, это канал о математике и в этой статье я расскажу про то, что такое тождество. Итак, давайте начнём. Вы наверняка уже встречали в математике следующие записи: 1) a^2-b^2 = (a-b)(a+b); 2) x^2-4x+4 = (x-2)^2; 3) z(a-c) = az-zc и тп. Мы можем смело утверждать, что эти равенства верны при любых значениях, т.е какие значения мы сюда не подставим, эти равенства всегда будут равны между собой. Такие равенства в математике называют тождественно равными или же тождествами...