Google Таблицы. Урок 75. Диаграмма в виде плоского дерева
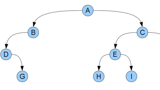
Бинарное дерево поиска. Обход Дерева.
Обход дерева - это вид обхода графа, который обуславливает процесс посещения (проверки и/или обновления) каждого узла структуры дерева данных ровно один раз. Такие обходы классифицируются по порядку, в котором узлы посещаются. Алгоритмы в статье относятся к двоичным деревьям, но могут быть обобщены и для других деревьев. Дерево – это структура данных, представляющая собой древовидную структуру в виде набора связанных узлов. Бинарное дерево – это конечное множество элементов, которое либо пусто,...
Что показал Узел Лабиринта — контракт деда с «Хронос», карта разлома и настоящая причина исчезновения «Вершины» • Эхо Лабиринта
Мир не взорвался. Он растворился. В тот миг, когда тёплый металл ключа коснулся прохладной, вибрирующей поверхности кристаллического резонатора, Анну накрыла волна. Не света в привычном смысле, а чистого, нефильтрованного опыта. Зрение, слух, осязание — всё смешалось в калейдоскопе ощущений, которые были не её собственными, но при этом ощущались так остро, будто она прожила их сама. Первым пришёл звук — не гул, а ясный, уверенный голос её деда, но на десятилетия моложе: «— Вы уверены, что стабилизация...