3 недели назад
Как решать интегралы: примеры и простые методы, которые реально работают
Ты когда-нибудь сидел за задачником и думал: «Как решать интегралы, чтобы не сойти с ума?» Не переживай, ты не один. Для многих школьников и студентов интегралы кажутся чем-то из другой галактики. Но есть способы, которые делают этот процесс понятным и даже увлекательным. ✔ Наша группа ВК заходите и подписывайтесь: 👉 ВК Учись Легко ✔ Наш Telegram-канал с новостями, подписывайтесь: 👉 Учись Легко Интегралы часто вызывают страх из-за странных символов и длинных формул. Кажется, что без суперпамяти или особого таланта ничего не получится...
6 лет назад
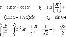
Математический анализ (Матан). Метод замены в интегральном исчислении.
Вот и пришло время ознакомиться с новым методом решения интегралов. Ничего сложного вы там не увидите, предупреждаю заранее. Заранее рекомендую изучить ранее пройденную тему которая носит название "подведение под знак дифференциала", будет легче ориентироваться и воспринимать информацию. Начнём с преимуществ данного метода: Первым, что хотелось бы выделить, так это изящность решения...