Что такое число е. Финансовый смысл
Число Эйлера
Наряду с число пи, √ 2 является иррациональным, то есть не может быть записанным с помощью дроби. Но в отличие от ранее описанных констант не имеет как такого геометрического смысла.
Впервые число е вычислил...
Самое важное число в математике. Магия числа е.
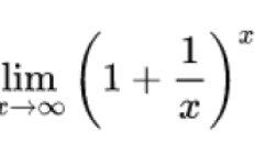
Одним из самых популярных трансцендентных чисел во всей математической науке, а также самым частым используемым числом в математическом анализе является число е (число Эйлера). Часто это число представляется как предел последовательности: Или как сумма ряда: Но это лишь теоретические тезисы, дальше - интереснее! Оказывается, что многие процессы разных сфер жизни построены именно по этому числу, а график экспоненциального роста можно повсеместно встретить как в физике, химии, так и в экономике. Например,...