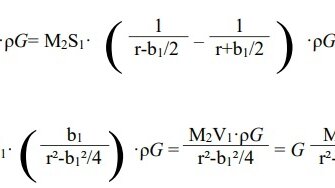
Закон всемирного тяготения!
Закон Всемирного тяготения из закона Архимеда
Ниже речь пойдёт о гравитации. Я доходчего объясню почему притягиваются тела, каков физический смысл Закона Всемирного тяготения. Фейнман говорил, что если Вы не можете объяснить свою теорию восьмилетнему ребёнку, Вы сами не понимаете о чем идет речь. В современной науке иначе. Со слов другого нобелевского лауреата: "Современная наука не место для дилетантов!" Хочется привести модную сегодня шутку, что Ной в отличие от строителей "Титаника" был дилетантом. Науку всегда делали одержимые люди, искрене увлечённые предметом своего изучения...
Закон Архимеда и его фальсификация
Выдающийся ученый Архимед, жил на острове Сицилия, в период 287 - 212 г до н. э. Он занимался математикой, механикой, оптикой и астрономией. Архимед явился основоположником гидростатики и законов плавающих тел. Этому был посвящен его труд "О плавающих телах". Формулировка, ставшая в последствии известным законом Архимеда, была следующей: 1) "Тело более тяжёлое чем жидкость, опущенное в эту жидкость, будет погружаться, пока не дойдет до самого Низа, и в жидкости станет легче на величину веса жидкости, в объеме равном объему погруженного тела"...