2202 читали · 6 лет назад
Математика. Формула Эйлера и её следствия.
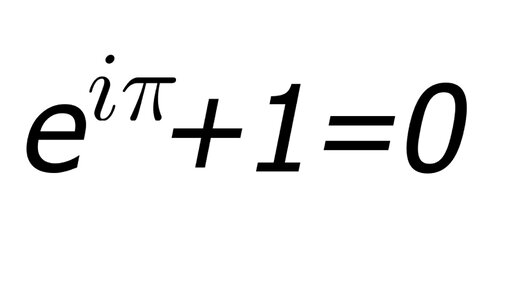
Сегодня ознакомимся с очень интересной формулой связанной одновременно с комплексными числами и тригонометрией, приведёт это всё нас к освоению нового класса функций, которые носят название "гиперболические". Применяется сама формула очень часто в высшей математике, в основном разного рода преобразованиях. Формула Эйлера имеет вид: Удивительно, но зная лишь эту формулу можно вывести целую таблицу гиперболических функций, мы все выводить не будем конечно, но одну попробуем, ведь все остальные можно вывести самостоятельно...
170 читали · 2 года назад
Вывод уравнений Максвелла вообще без допущений из чистого уравнения Эйлера. Электродинамика - это просто течения эфира.