Слава - Стань сильней
Урок 3. Квантовые вентили
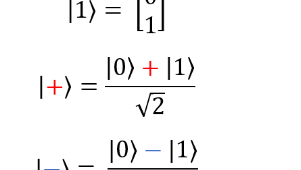
Начнем с основ — с обозначений некоторых распространенных квантовых состояний, которыми мы будем впоследствии манипулировать: Все они являются чистыми однокубитными состояниями, поэтому их можно представить в виде точек на сфере Блоха: Теперь — четыре состояния Белла (их еще называют парами ЭПР, в честь Эйнштейна, Подольского и Розена — именно они являются авторами идей, которые впоследствии развил Белл). Это простейшие примеры квантовой запутанности двух кубитов: И наконец, мы будем использовать так называемые состояния ГХЦ (Гринберга — Хорна — Цайлингера)...