Первый замечательный предел.
Практика. Математика. Пределы (lim). Первый замечательный предел.
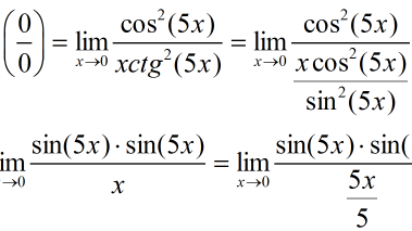
Сегодня мы подошли к самому "замечательному" в теории пределов, а точнее к первому замечательному пределу. Зная только его, на экзамене есть шансы выбить троечку (но это не точно). На самом деле первый замечательный очень полезная "штука", он так сказать основа или фундамент всей теории пределов. Применять крайне просто на практике, а заметить ещё проще. Поскорее приступим к самой практике, чтобы убедиться во всём сказанном. Но перед практикой набросаем краткую теорию. Первым делом установим наглядное представление...