Альберт Эйнштейн: Гений, изменивший XX век / Личности / МИНАЕВ
О ТЕОРИИ ОТНОСИТЕЛЬНОСТИ
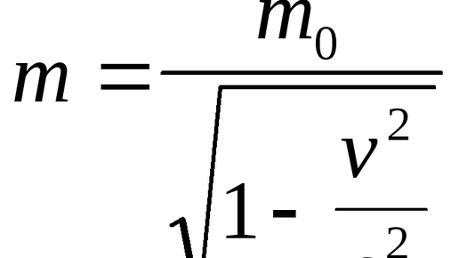
Сомневаться в справедливости теории относительности Эйнштейна в наше время, когда она уже используется в быту по крайней мере не остроумно, Каждый из нас пользуется её достижениями практически неоднократно ежедневно...
Глобальная ложь: как теория относительности Эйнштейна завела науку в тупик
Наш мир погряз в догмах и общепринятых правила. Некоторые из них, без сомнений приносят пользу, а вот многие работают лишь на небольшую группу власть предержащих, позволяя держать в узде массовое сознание. Здравствуйте уважаемые любители нестандартных версий, и альтернативных трактовок. Сегодня речь пойдет об одной такой теории, которая вот уже столетие ограничивает научную мысль, искусственно затормаживая прогресс. Мы не будем рассуждать, кому это надо и искать виновных, а лишь приведем некоторые факты...