Деление окружности на 5 равных частей
Формула площади Гаусса и при чем тут шнурки от ботинка?
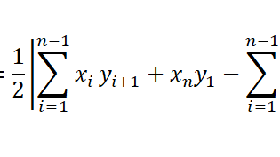
Для площадей различных геометрических фигур, расположенных на плоскости (банальные примеры: квадрат, окружность, овал, треугольник), есть множество формул. Очевидно, что любую геометрическую фигуру можно "запихать" в декартовые координаты (самая обычная координатная плоскость) без особых проблем. Просто тогда у каждой вершины будет своя пара координат - (x,y). К чему это все я? Так вот, существует такая формула, для вычисления площади многоугольника (причем какого угодно, необязательно выпуклого), называемая формулой площади Гаусса...
Комплексные и Гиперкомплексные числа. Статья для школьников и студентов.
История возникновения комплексных и гиперкомплексных чисел тесно связана с развитием математики в XVII–XIX веках, когда ученые столкнулись с необходимостью решения уравнений, для которых не существовало решений среди обычных (вещественных) чисел. Процесс возникновения комплексных чисел можно отслеживать через проблему решения квадратных уравнений. В Древней Греции, в IV веке до н. э., Пифагор и его последователи считали числами только положительные вещественные числа. В XVII веке, когда математики начали решать уравнения, возникла первая серьезная проблема...