Найти в Дзене
Войти
Математикс
380
подписчиков
Задачи по математике. Для тех, кто готовится к ЕГЭ и не только
Подписаться
Главная
Видео
Статьи
Подборки
Сначала новое
01:55
1,0×
00:00
/
01:55
Неравенство с тремя логарифмами
1 год назад
02:19
1,0×
00:00
/
02:19
Показательное неравенство с разными основаниями и модулями
1 год назад
01:48
1,0×
00:00
/
01:48
Тригонометрическое уравнение №8.093 из сборника Сканави
1 год назад
03:38
1,0×
00:00
/
03:38
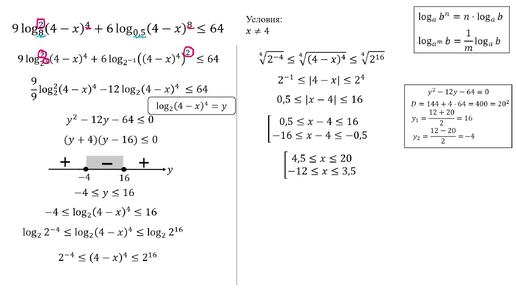
Логарифмическое неравенства на замену
1 год назад
01:15
1,0×
00:00
/
01:15
Тригонометрическое уравнение №8.092 из сборника Сканави
1 год назад
02:23
1,0×
00:00
/
02:23
Показательное неравенство с разными основаниями и корнем
1 год назад
2415143540.1021.1778350567940.75343