Добавить в корзинуПозвонить
Найти в Дзене

М6 ВПР Катя загадала четырёхзначное число. Из загаданного числа она вычла сумму его цифр, у полученной разности зачеркнула одну цифру и полу

Катя загадала четырёхзначное число. Из загаданного числа она вычла сумму его цифр, у полученной разности зачеркнула одну цифру и получила число 235. Какую цифру зачеркнула Катя? Запишите решение и ответ. Видеоразбор Пусть загаданное число — N, сумма его цифр — S. После вычитания: M=N−S Число M — целое. Из него зачеркнули одну цифру и получили 235. Так как 235 трёхзначное, M не могло быть трёхзначным (иначе после зачёркивания осталось бы две цифры). Значит, M было четырёхзначным. Обозначим цифры M как a,b,c,d После зачёркивания одной цифры получили 235. Возможны 4 случая: Здесь a,b,c,d — цифры ( a от 1 до 9, остальные от 0 до 9). Известно: если из числа вычесть сумму его цифр, результат делится на 9.
Например: 1234 − (1+2+3+4) = 1224, 1224 ÷ 9 = 136. Почему? Значит, наше M делится на 9. Признак делимости на 9: сумма цифр числа делится на 9. Случай 1: M=a235 Цифры: a,2,3,5. Сумма: a+10.
a+10 кратно 9. Перебираем a от 1 до 9:
a=8 ⇒ 8+10=18 подходит ⇒ M=8235. Случай 2: M=2b35 Сумма: 2+b+3
Оглавление

ВПР по математике в 6 классе

Катя загадала четырёхзначное число. Из загаданного числа она вычла сумму его цифр, у полученной разности зачеркнула одну цифру и получила число 235. Какую цифру зачеркнула Катя? Запишите решение и ответ.

Видеоразбор

Решение:

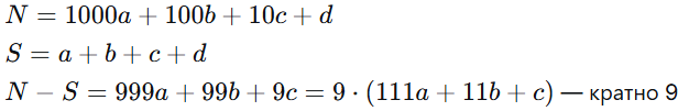
Пусть загаданное число — N, сумма его цифр — S. После вычитания: M=NS

Число M — целое. Из него зачеркнули одну цифру и получили 235. Так как 235 трёхзначное, M не могло быть трёхзначным (иначе после зачёркивания осталось бы две цифры). Значит, M было четырёхзначным.

Как может выглядеть M?

Обозначим цифры M как a,b,c,d

После зачёркивания одной цифры получили 235.

Возможны 4 случая:

  1. Зачеркнули a → осталось bcd=235 ⇒ b=2,c=3,d=5 ⇒ M=a235
  2. Зачеркнули b → осталось acd=235 ⇒ a=2,c=3,d=5 ⇒ M=2b35
  3. Зачеркнули c → осталось abd=235 ⇒ a=2,b=3,d=5 ⇒ M=23c5
  4. Зачеркнули d → осталось abc=235 ⇒ a=2,b=3,c=5 ⇒ M=235d

Здесь a,b,c,d — цифры ( a от 1 до 9, остальные от 0 до 9).

Важное свойство

Известно: если из числа вычесть сумму его цифр, результат делится на 9.
Например: 1234 − (1+2+3+4) = 1224, 1224 ÷ 9 = 136.

Почему?

-2

Значит, наше M делится на 9.

Находим все возможные M, делящиеся на 9

Признак делимости на 9: сумма цифр числа делится на 9.

Случай 1: M=a235

Цифры: a,2,3,5. Сумма: a+10.
a+10 кратно 9. Перебираем a от 1 до 9:
a=8 ⇒ 8+10=18 подходит ⇒ M=8235.

Случай 2: M=2b35

Сумма: 2+b+3+5=b+10
b+10 кратно 9 ⇒ b=8 ⇒ M=2835.

Случай 3: M=23c5

Сумма:2+3+c+5=c+10 ⇒ c=8 ⇒ M=2385.

Случай 4: M=235d

Сумма: 2+3+5+d=d+10 ⇒ d=8 ⇒ M=2358.

Итак, возможные M: 8235, 2835, 2385, 2358.

Какое из них могло получиться на самом деле?

Вспомним: N=M+S, где S — сумма цифр N, N — исходное четырёхзначное число. S — не больше 36 (так как максимальная сумма цифр четырёхзначного числа 9+9+9+9=36).

Проверяем каждый вариант:

M=8235

Ищем S от 1 до 36, чтобы N=8235+S и сумма цифр N равнялась S.
Пробуем
S=18: N=8253, сумма цифр 8+2+5+3=18 — подходит.
Значит,
N=8253, M=8235, зачёркнута первая цифра — 8.

M=2835

S=18: N=2853, сумма цифр 2+8+5+3=18 — подходит.
Зачёркнута вторая цифра — 8.

M=2385

Пробуем S=18: N=2403, сумма цифр 2+4+0+3=92+4+0+3=9 — не 18.
S=9: N=2394, сумма цифр 2+3+9+4=18 — не 9.
Другие
S не подходят (можно проверить, но нет решений). Отбрасываем.

M=2358

S=18: N=2376, сумма цифр 2+3+7+6=18 — подходит.
Зачёркнута последняя цифра — 8.

Какую цифру зачеркнули?

Во всех подходящих случаях (M=8235,2835,2358) зачёркнутая цифра — 8.