Добавить в корзинуПозвонить
Найти в Дзене

Генная терапия позволила пациентам с бета-талассемией отказаться от переливания эритроцитов

В первой фазе клинических исследований пятерым пациентам с бета-талассемией провели переливание собственных стволовых клеток, модифицированных ex vivo с помощью редактора оснований. Это помогло им отказаться от переливаний эритроцитарной массы и поддерживать общий гемоглобин на нормальном уровне как минимум в течение двух лет после процедуры. Исследование опубликовали в Nature. Бета-талассемия — это наследственная болезнь, при которой бета-глобин не синтезируется или синтезируется в малом количестве. Это приводит к анемии и нарушает образование эритроцитов. До недавнего времени основным методом лечения этого состояния было переливание эритроцитарной массы, но в последние годы разработали другие методы лечения бета-талассемии, например CRISPR-терапию и генную терапию. Правда, пока из-за высокой цены и недостаточной изученности они мало распространены. Исследователи во главе с Цзя Чэном (Jia Chen) из Технического университета Шанхая выбрали целью генной терапии фетальный гемоглобин F, ко
  N + 1; Sciencingabout / Wikimedia Commons / CC BY-SA 4.0
N + 1; Sciencingabout / Wikimedia Commons / CC BY-SA 4.0

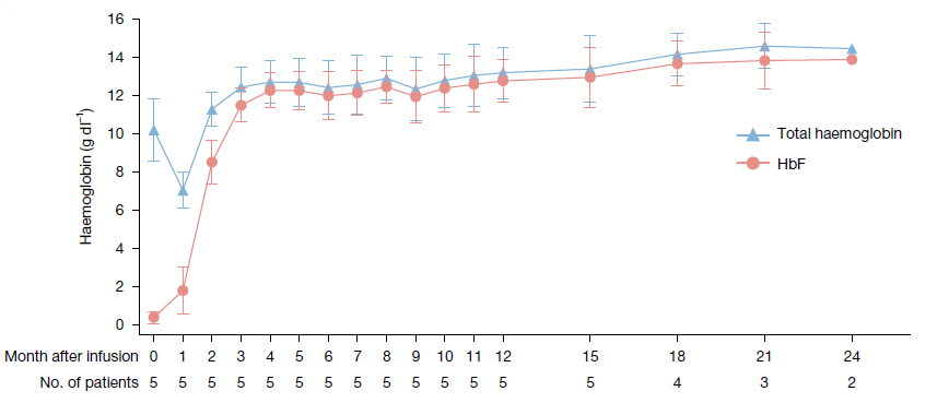
В первой фазе клинических исследований пятерым пациентам с бета-талассемией провели переливание собственных стволовых клеток, модифицированных ex vivo с помощью редактора оснований. Это помогло им отказаться от переливаний эритроцитарной массы и поддерживать общий гемоглобин на нормальном уровне как минимум в течение двух лет после процедуры. Исследование опубликовали в Nature.

Бета-талассемия — это наследственная болезнь, при которой бета-глобин не синтезируется или синтезируется в малом количестве. Это приводит к анемии и нарушает образование эритроцитов. До недавнего времени основным методом лечения этого состояния было переливание эритроцитарной массы, но в последние годы разработали другие методы лечения бета-талассемии, например CRISPR-терапию и генную терапию. Правда, пока из-за высокой цены и недостаточной изученности они мало распространены.

Исследователи во главе с Цзя Чэном (Jia Chen) из Технического университета Шанхая выбрали целью генной терапии фетальный гемоглобин F, который активен внутриутробно, но исчезает после рождения. В составе гемоглобина F нет бета-глобина, поэтому если снова запустить его выработку у людей с бета-талассемией, то их генетический дефект не будет мешать синтезу гемоглобина и эритроцитов.

Ученые взяли аутологичные CD34+ клетки и обработали их ex vivo с помощью трансформерного редактора оснований, который модифицировал BCL11A-связывающий мотив и тем самым запустил выработку гемоглобина F у взрослых. В первой фазе клинических исследований лекарство испытали у пяти пациентов с тяжелой бета-талассемией (троих мужчин и двоих женщин). Они получили однократную дозу своих стволовых клеток, обработанных экспериментальным способом.

Уже через месяц после лечения пациентами больше не нужны были переливания эритроцитарной массы, а через три месяца после терапии уровень общего гемоглобина и уровень гемоглобина F был в среднем 12,4 и 11,5 грамм на децилитр крови соответственно. Уровень общего гемоглобина оставался близким к нормальному на протяжении последующих двух лет, что говорит о том, что в организме пациентов успешно поддерживается выработка функционального гемоглобина. Осложнения от процедуры соответствовали осложнениями от пересадки клеток костного мозга – нейтропения, тромбоцитопения, анемия – которые со временем разрешились. Не зарегистрировали ни одного случая онкологического заболевания или смерти.

  Lai et al. / Nature, 2026
Lai et al. / Nature, 2026

В будущих исследованиях необходимо испытать препарат на протяжении более длительного времени и на большем числе людей, но первые результаты оптимистичные. Однократное лечение могло бы помочь пациентам с бета-талассемией избежать многократных переливаний крови.

В 2025 году за метод редактирования генома, который применяют для лечения T-клеточной лейкемии, серповидноклеточной анемии и бета-талассемии, ученого наградили Breakthrough Prize.