Добавить в корзинуПозвонить
Найти в Дзене
Инженерные Знания

Вечная ошибка. Почему масса НЕ увеличивается по мере приближения к скорости света?

Почему нельзя разогнать массивное тело (тело, имеющее массу) до скорости света? Хм, ну самый частый ответ, что его масса увеличивается, а потому в итоге мы получим ситуацию, когда потребуется бесконечная энергия. Это великолепно звучит и очень красиво следует из знаменитой формулы Эйнштейна, но это неправильно по меркам современных взглядов. Когда частица разгоняется до околосветовых скоростей (или так делает любое тел ос массой), возникает ощущение, что её «масса растёт». Это часто формулируют как: чем быстрее движется объект, тем тяжелее его разогнать дальше Исторически это называли «релятивистским увеличением массы». Для массы даже есть своё выражение из группы преобразований Лоренца. Но в современной физике от этой формулировки отказались. Она вводит в заблуждение. Ещё со времён Альберта Эйнштейна стало ясно, что масса - это инвариантное свойство частицы, одинаковое во всех системах отсчёта. По сути масса и есть характеристика вещества. Если свести понимание к тому, что материя=эне

Почему нельзя разогнать массивное тело (тело, имеющее массу) до скорости света? Хм, ну самый частый ответ, что его масса увеличивается, а потому в итоге мы получим ситуацию, когда потребуется бесконечная энергия.

Это великолепно звучит и очень красиво следует из знаменитой формулы Эйнштейна, но это неправильно по меркам современных взглядов.

Когда частица разгоняется до околосветовых скоростей (или так делает любое тел ос массой), возникает ощущение, что её «масса растёт». Это часто формулируют как:

чем быстрее движется объект, тем тяжелее его разогнать дальше
Масса постоянна, Эйнштейн подтвердил :)
Масса постоянна, Эйнштейн подтвердил :)

Исторически это называли «релятивистским увеличением массы». Для массы даже есть своё выражение из группы преобразований Лоренца. Но в современной физике от этой формулировки отказались. Она вводит в заблуждение.

Ещё со времён Альберта Эйнштейна стало ясно, что масса - это инвариантное свойство частицы, одинаковое во всех системах отсчёта. По сути масса и есть характеристика вещества. Если свести понимание к тому, что материя=энергия и что масса описывает количество этой энергии, то становится ясным, что этот показатель никак не должен меняться. Если вы везёте на велосипеде собаку, то в итоге она не станет кошкой. Масса - это и есть главный параметр вещества.

Старая идея «релятивистской изменяющейся массы» лишь маскирует этот факт и создаёт ложное ощущение, будто частица «становится тяжелее внутри», и ломает более глубокую и красивую структуру теории относительности, где всё описывается через энергию-импульс, поэтому современная физика полностью отказалась от неё в пользу точного и универсального описания.

Масса постоянна, а вся «сложность разгона» связана с тем, что энергия системы стремительно растёт при приближении к скорости света. Так что сегодня правильное утверждение, что масса не меняется, а меняется энергия и импульс системы.

Если же следовать логике изменения массы, то для одного наблюдателя масса одна, для другого (движущегося) другая. Получается, масса зависит от системы отсчёта, а важно, чтобы фундаментальные свойства объекта были инвариантны, то есть одинаковы. Она не должно меняться от того, кто на неё смотрит.

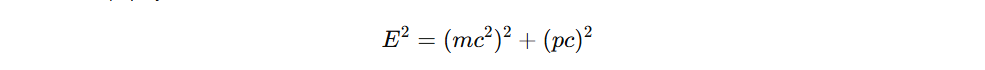
В теории относительности всё складывается в один объект со страшным названием четырёхвектор энергии-импульса.

Вот такая формула
Вот такая формула

Масса тут будет одна во всех системах. Всё остальное меняется и именно туда уходит энергия, которая должна была бы увеличивать массу до якобы бесконечной. Мы же обычно отрываем начало четрёхвектора и говорим - а вот вам и бесконечность.

В итоге энергия частицы с массой ведёт себя так. При увеличении скорости она растёт всё быстрее и быстрее, и при приближении к скорости света действительно стремится к бесконечности. Это происходит не потому, что «что-то ломается», а потому что сама геометрия пространства-времени устроена так, что скорость света - это предельная граница, до которой можно только бесконечно приближаться, но её нельзя достичь.

При этом масса остаётся конечной и неизменной - энергия уходит именно в импульс, потому что каждый следующий прирост скорости требует всё больше энергии, и итоге оно бесконечно много.

Поэтому да, до бесконечной энергии всё действительно «доходит», но это не физический процесс, который можно реализовать, а математический предел, который просто говорит нам - объекты с массой никогда не смогут разогнаться до скорости света. И важны детали. Как обычно.

Telegram-канал проекта

Не забывайте ставить лайки статье и подписываться! Это очень важно для развития проекта, а вы будете видеть ещё больше интересных статей в ленте! На канале есть премиум, где много интересного.