Добавить в корзинуПозвонить
Найти в Дзене
Тесты_математика

Алгебраическая задача. Упростите выражение с корнями (√15 +√21 + √25 + √35)/(√3 + √7 + √20)

Приветствую читателей и подписчиков каналов Тесты_математика! Предлагаю математическую задачу с радикалами. Условие задачи. Упростите выражение с радикалами (√15 +√21 + √25 + √35)/(√3 + √7 + √20). Условие задачи в рисунке. Решение показано на скриншотах с экрана видео и в видео. Преобразование сводится к представлению членов в числителе в виде множителей, чтобы выделить общие выражения или числа. Каждое число под корнем представим в виде мнозителей. (√15 +√21 + √25 + √35)/(√3 + √7 + √20) = (√3*5 +√3*7 + √5*5 + √5*7)/(√3 + √7 + √4*5) = [√3(√5 +√7) + √5((√5 +√7)]/(√3 + √7 + 2√5) = [(√3 + √5) * (√5 +√7)]/[(√3 + √5) + (√5 +√7). Далее обозначим. m = (√5 +√7); n = (√3 + √5). Далее обозначим x = m * n/(m + n); 1/x = (m + n)/m * n. Далее решение смотрите на скриншоте и в видео. ВИДЕО. Аналогичные статьи на канале. Спасибо за просмотр статьи и видео. #задачи на логику, #головоломки, #математика, #тест
Оглавление

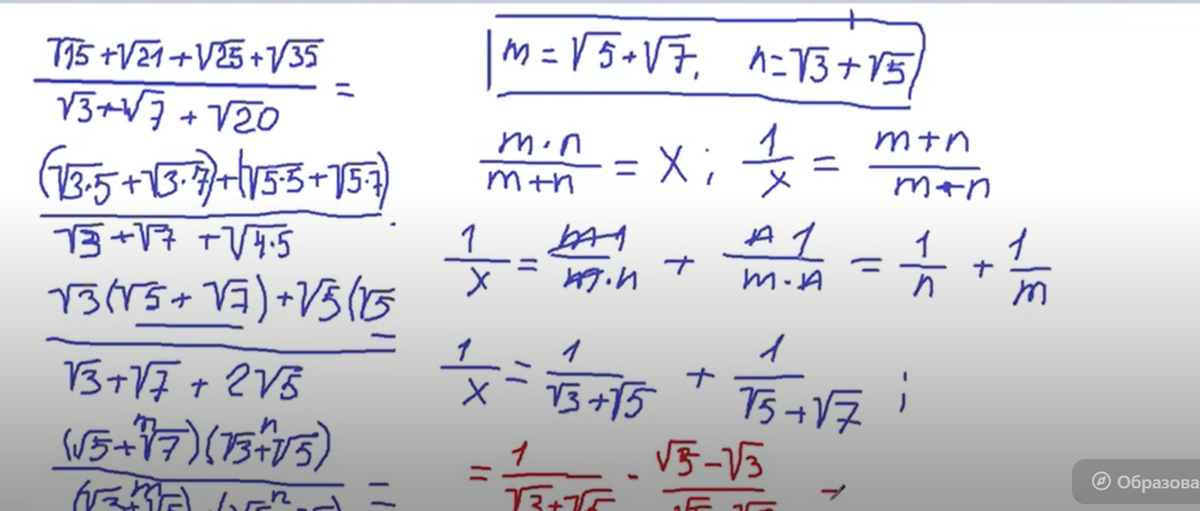
Приветствую читателей и подписчиков каналов Тесты_математика!

Предлагаю математическую задачу с радикалами.

Условие задачи.

Упростите выражение с радикалами

(√15 +√21 + √25 + √35)/(√3 + √7 + √20).

Условие задачи в рисунке.

задача упрощ выраж с корн 15 20 25 36  3 7 20.png
задача упрощ выраж с корн 15 20 25 36 3 7 20.png

Решение показано на скриншотах с экрана видео и в видео.

Преобразование сводится к представлению членов в числителе в виде множителей, чтобы выделить общие выражения или числа.

-2

Каждое число под корнем представим в виде мнозителей.

(√15 +√21 + √25 + √35)/(√3 + √7 + √20) =

(√3*5 +√3*7 + √5*5 + √5*7)/(√3 + √7 + √4*5) =

[√3(√5 +√7) + √5((√5 +√7)]/(√3 + √7 + 2√5) =

[(√3 + √5) * (√5 +√7)]/[(√3 + √5) + (√5 +√7).

Далее обозначим.

m = (√5 +√7); n = (√3 + √5).

Далее обозначим

x = m * n/(m + n); 1/x = (m + n)/m * n.

Далее решение смотрите на скриншоте и в видео.

ВИДЕО.

Упростите выражение с корнями(√15 +√21 + √25 + √36)/(√3 + √7 + √20)) — Видео от Задачи, тесты,головоломки

Аналогичные статьи на канале.

Спасибо за просмотр статьи и видео.

Подпишитесь, пожалуйста на канал

Задачи, тесты, головоломки!

Подпишитесь на канал, Тесты_математика!

чтобы не пропустить новые публикации!

#задачи на логику, #головоломки, #математика, #тест