Найти в Дзене
Просто Училка. Методичка

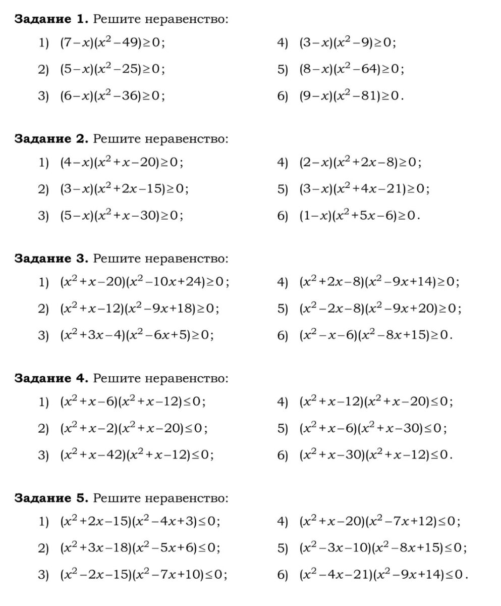
В базе ФИПИ появились изменения в заданиях ОГЭ: знакомимся с 20 номером

9 класс. По программе прогрессии, повороты, симметрии. А по факту подготовка к ОГЭ, конечно. И сегодня коротко рассмотрим новые прототипы 20 задания из базы ФИПИ. Что показала практика. Ученики, которые учили математику, вообще не понимают, что эти задания новые. Неравенства и неравенства. Интервалы и интервалы. Какая разница, сколько там корней, а сколько не входящих в допустимые значений? Важно их не перепутать, не забыть на числовой прямой отметить. И правильно ответ записать, не забыв нули функции в случае не строгих неравенств. Абсолютно адекватная реакция на появление новых прототипов. Знаний-то новых для их решения не нужно. И это как раз те дети, которым профильная математика будет по силам. Но больше других детей. Которые запоминают задания по внешнему виду. И пытаются заучить шаблоны для каждого. И появление лишней скобки, лишнего знаменателя их пугает, в шаблон это уже не укладывается. У таких детей вполне может быть даже пятёрка по математике. Но предмет на пятёрку они не з

9 класс. По программе прогрессии, повороты, симметрии. А по факту подготовка к ОГЭ, конечно. И сегодня коротко рассмотрим новые прототипы 20 задания из базы ФИПИ.

Что показала практика. Ученики, которые учили математику, вообще не понимают, что эти задания новые. Неравенства и неравенства. Интервалы и интервалы. Какая разница, сколько там корней, а сколько не входящих в допустимые значений? Важно их не перепутать, не забыть на числовой прямой отметить. И правильно ответ записать, не забыв нули функции в случае не строгих неравенств. Абсолютно адекватная реакция на появление новых прототипов. Знаний-то новых для их решения не нужно.

И это как раз те дети, которым профильная математика будет по силам.

Но больше других детей. Которые запоминают задания по внешнему виду. И пытаются заучить шаблоны для каждого. И появление лишней скобки, лишнего знаменателя их пугает, в шаблон это уже не укладывается. У таких детей вполне может быть даже пятёрка по математике. Но предмет на пятёрку они не знают.

Новых прототипов не очень много. Если первая часть решается уже без особых проблем, если во второй части получается решать давно имеющиеся типы заданий, то времени на заучивание новых шаблонов достаточно. Насколько это правильно пусть каждый решает сам для себя. Но нужно понимать, что рассчитывать при таком подходе на высокие баллы на профильном ЕГЭ не стоит. Это ни хорошо, ни плохо. Это реальность.

❗️Если у вас появились трудные номера по темам поста, пишем сюда. Мы с завучем канала, Галиной Наильевной, постараемся помочь.

❗️Если у вас есть вопросы по другим темам девятого класса, тоже пишите.

❗️Если у вас возникли срочные вопросы по другим классам во внеплановые дни, мы с завучем ждём вас в телеграм-канале:

Просто Училка live

Поддержать работу канала можно тут👉:

"Наверное, поддержу. Канал довольно полезный"🙏

❗️В субботу будет продолжать выходить рубрика, в которой мы будем коротко освещать математические трудности недели и ждать ваших вопросов💯

Чтобы никогда не потеряться, ссылка на наш канал в Максе! https://max.ru/prostouchilka

Делитесь ссылкой с друзьями. Только там можно увидеть изнанку работы репетиторов. Каждый день - советы от автора канала!

-2
-3