Найти в Дзене
All That Jazz

Уравнение любви в нотах: продолжаем составлять список самых романтичных альбомов

Продолжаю составлять свои списки самых романтичных джазовых альбомов и альбомов миднайт-джаза. Первая часть, смотрю, вызвала небывалый ажиотаж - не перевелись на свете романтики, значит, ещё горят сердца пламенем любви и джазового вдохновения :) Тогда, без долгих предисловий, идём дальше: Art Pepper - Winter Moon (https://album.link/s/6153IHtAm6zAFTGr6NT9PY) - саксофон великого Арта Пеппера со струнными - всё, что нужно, объясняет прелестный комментарий от кого-то из слушателей: "... если этот альбом не вызывает у вас желания немедленно выбежать на улицу и подобрать там щенка, срочно обратитесь к психиатру." Pharoah Sanders - Welcome to Love (https://album.link/s/0whNev0NtT4HWILeU4qEsI) - верховный жрец трансцендентального джаза здесь снизошёл до простых смертных и записал коллекцию неземной красоты баллад - придётся бежать за вторым щенком. Stan Getz & João Gilberto - Getz/Gilberto (https://album.link/s/73ZRKdD3Ds43IjHrhKgucY) - стоит ли что-либо писать об этом легендарном альбоме? Бо

Продолжаю составлять свои списки самых романтичных джазовых альбомов и альбомов миднайт-джаза. Первая часть, смотрю, вызвала небывалый ажиотаж - не перевелись на свете романтики, значит, ещё горят сердца пламенем любви и джазового вдохновения :)

Тогда, без долгих предисловий, идём дальше:

Art Pepper - Winter Moon (https://album.link/s/6153IHtAm6zAFTGr6NT9PY) - саксофон великого Арта Пеппера со струнными - всё, что нужно, объясняет прелестный комментарий от кого-то из слушателей: "... если этот альбом не вызывает у вас желания немедленно выбежать на улицу и подобрать там щенка, срочно обратитесь к психиатру."

Pharoah Sanders - Welcome to Love (https://album.link/s/0whNev0NtT4HWILeU4qEsI) - верховный жрец трансцендентального джаза здесь снизошёл до простых смертных и записал коллекцию неземной красоты баллад - придётся бежать за вторым щенком.

Stan Getz & João Gilberto - Getz/Gilberto (https://album.link/s/73ZRKdD3Ds43IjHrhKgucY) - стоит ли что-либо писать об этом легендарном альбоме? Босса-нова, нежный и романтичный саксофон Стэна Гетца, карамельный голос Жоао Жилберту и, конечно же, незабываемая Аструд Жилберту - всё это на мгновение меняет мир в лучшую сторону.

Aldo Romano Quarter - Canzoni (https://album.link/s/3XKc544RifTsVF5dbbRqgu) - если за дело берутся итальянцы - романтическое настроение обеспечено, тем более здесь играют большие мастера - классный драмер Альдо Романо и прекрасный трубач Паоло Фрезу, тем более играют все хиты из великого итальянского песенника, тем более играют то как хорошо, тем более... ну вы поняли.

Kenny G - Breathless (https://album.link/s/2UHxPIp8OEcMrmg2ysEQF2) - при упоминании имени Кенни Джи любой уважающий себя правоверный джазхэд должен упасть в обморок, но правда в том, что десятки миллионов проданных дисков и невероятная популярность по всему миру закрепили за этим релизом звание самого романтичного альбома смус-джаза.

Groover Washington Jr. - Winelight (https://album.link/s/50gtvo0hufJj06ipbOjAiU) - ещё одна легенда смус-джаза и альбом, который обязательно есть в любом списке "самых романтичных джазовых альбомов" - говорят, что он само совершенство - в ваших силах проверить это.

Charlie Ballantine - Love Letters and Graffiti (https://album.link/s/3w8TJajBBVFvdOaA4adCJ1) - нет картины романтичнее, чем сидящий у подъезда парень с гитарой, играющий для своей пассии - и пусть Чарли Баллантайн и не нарезает "а ты опять сегодня не пришла", но это небольшое прегрешение - в остальном альбом прекрасен.

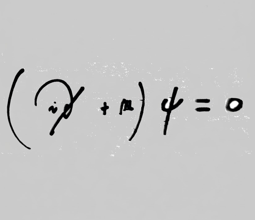
Nels Cline - Lovers (https://album.link/s/2oFwmxCUzVmP8pZxV1sdfN) - ещё один парень с гитарой - здесь уже всё несколько посложнее - временами кажется, что он решает уравнение квантовой запутанности Поля Дирака, которое также называют ещё и "уравнением любви" или "самой красивой и романтичной формулой в физике" - в общем, для тех, кто предпочитает по-затейлевее будет самое то.

Chris Botti - To Love Again (https://album.link/s/7DwZcZjbCbluvYCOrIIKi6) - сладкозвучная труба в окружении струнных инструментов с приглашёнными вокалистами - прекрасно в комментариях к альбому сказано: "Если бы Ромео заручился поддержкой этого квинтета, он бы завоевал сердце Джульетты ещё во время увертюры, задолго до того, как поднимется занавес."

Molly Lewis - On The Lips (https://album.link/s/2EaFjK4isYVM689kcpyIAY) - Белоснежка, разговаривающая с птицами, насвистела очаровательный альбом, отсылающий куда-то в 50-60 года - молодая вистлерша знает толк в романтике.

Ну а теперь немного миднайт-джаза, дабы слегка остыть от такого потока сантиментов:

Stanley Turrentine - Blue Hour (https://album.link/s/1Ho6TDqRIfgliR193SyRaO) - классический альбом для полуночного времени - чувственный саксофон изливает душу, погружая вас в блюзовый транс.

Keith Jarrett & Charlie Haden - Jasmine (https://album.link/s/0dlzYOzj8FqN3OXV3jXZye) - абсолютно гипнотический альбом великого пианиста и великого контрабасиста - они рисуют завораживающий мир меланхолии, хрупкий и полупрозрачный.

Kenny Wheeler, Lee Konitz, Dave Holland, Bill Frisell - Angel Song (https://album.link/s/1btfrMhZbJKSvbUh0o68Xe) - неимоверной красоты музыка - я уже несколько раз писал об этом альбоме, не буду повторяться.

Marcin Wasilewski Trio - January (https://album.link/s/0uZt1xe1sLvt4ZAOLHj3fY) - едва мерцающие, как искры догорающего камина, мелодии этого альбома растворяются в пространстве, даруя умиротворение и светлую грусть.

Bobo Stenson Trio - Contra La Indecision (https://album.link/s/3e1D8PXvjboQnZY8o9vNgo) - ну и как же обойтись без скандинавского сплина - но всё же нет-нет да и озаряют тёмную ночь отблески северного сияния.

Продолжение следует...