Классика ЕГЭ-шной тригонометрии:
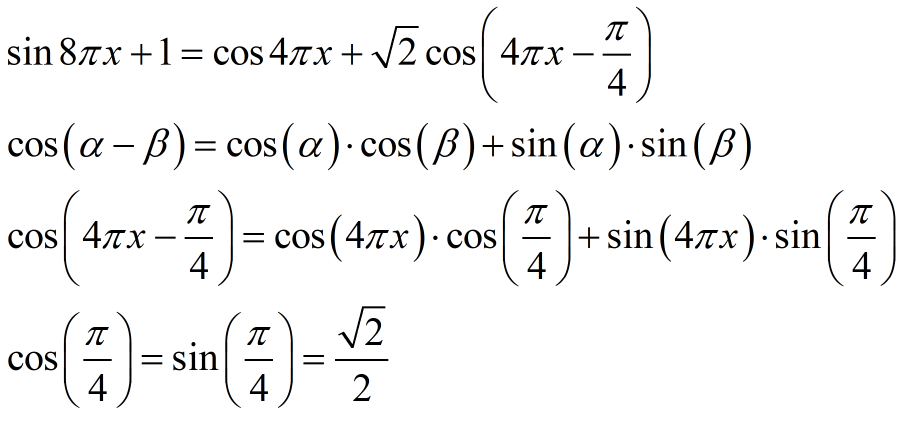
а) Решить уравнение: sin(8πx) + 1 = cos(4πx) + √2⋅cos(4πx - π/4)
б) Найти корни, принадлежащие промежутку: [2-√7; √7 - 2] Первое, что нам должно помочь - вспомнить формулу косинуса разности: cos(x - y) = cos(x) ⋅ cos(y) + sin(x) ⋅ sin(y) Это поможет избавиться от неприятной скобки в виде аргумента cos(). Далее необходимо вспомнить, что cos(π/4) = sin(π/4) = √2/2. Далее остается привести подобные слагаемые, вспомнить про синус двойного угла sin(2⋅x) = 2⋅sin(x)⋅cos(x) и аккуратно сгруппировать в левой части. А далее остается решить уравнения отдельно. Дальше получаются два простейших тригонометрических уравнения. Но в них тоже происходит большинство ошибок. Дело в том, что некоторые уравнения дают один корень (+периодичность), а другие дают два корня (которые иногда объединяются через символ «±», а иногда их удобно написать раздельно). Здесь очень помогает тригонометрический круг. Его можно нарисовать, а можно представить в уме, чтобы не потерять корни.
