Найти в Дзене
Журнал HeatClub

Техническая теплоизоляция для систем кондиционирования и вентиляции

Системы вентиляции и кондиционирования предназначены для создания и поддержания в помещениях комфортных параметров воздушной среды. В системах кондиционирования теплоизоляция используется на трубах, по которым между внутренними и наружными блоками циркулирует хладагент. Так как температура носителя в этих трубах ниже температуры окружающего воздуха, то основным назначением теплоизоляции является защита от образования конденсата на поверхности труб и, как следствие, защита строительных конструкций от повреждения водой. Также немаловажную роль теплоизоляция играет для механической и коррозионной защиты трубопроводов во время их монтажа и эксплуатации. В системах, создающих комфортный климат сразу в нескольких помещениях, широко используются воздуховоды, транспортирующие приточный или подготовленный (охлаждённый или нагретый) воздух. Эти воздуховоды также нужно изолировать. Исходя из вышеизложенного очевидно, что применение теплоизоляционных материалов при монтаже системы вентиляции и ко
Кирилл Шевченко, ведущий специалист, руководитель центра обучения ООО «РОЛС»
Кирилл Шевченко, ведущий специалист, руководитель центра обучения ООО «РОЛС»

Системы вентиляции и кондиционирования предназначены для создания и поддержания в помещениях комфортных параметров воздушной среды.

В системах кондиционирования теплоизоляция используется на трубах, по которым между внутренними и наружными блоками циркулирует хладагент. Так как температура носителя в этих трубах ниже температуры окружающего воздуха, то основным назначением теплоизоляции является защита от образования конденсата на поверхности труб и, как следствие, защита строительных конструкций от повреждения водой. Также немаловажную роль теплоизоляция играет для механической и коррозионной защиты трубопроводов во время их монтажа и эксплуатации. В системах, создающих комфортный климат сразу в нескольких помещениях, широко используются воздуховоды, транспортирующие приточный или подготовленный (охлаждённый или нагретый) воздух. Эти воздуховоды также нужно изолировать.

Исходя из вышеизложенного очевидно, что применение теплоизоляционных материалов при монтаже системы вентиляции и кондиционирования необходимо и всем понятно.

Однако, в рамках деятельности центра обучения нашей компании мы сталкиваемся с рядом постоянных вопросов. Ответам на которые мы бы и хотели посветить данный обзор.

Как правильно рассчитать толщину изоляции для систем кондиционирования и вентиляции?

Бывает, что в проверяемых проектах встречается примерный подбор толщины изоляции. Иногда это «примерно» превращается в необоснованные 32-50 мм, что при больших площадях поверхностей воздуховодов и протяжённости трубопроводов может сильно влиять на конечную стоимость изоляционной конструкции.

Поэтому для расчёта мы настоятельно рекомендуем опираться на метод расчёта, изложенный в СП 61.13330.2012. «6.8 Для предотвращения конденсации влаги из окружающего воздуха на покровном слое тепловой изоляции трубопроводов, содержа-щих вещества с температурой ниже температуры окружающего воздуха».

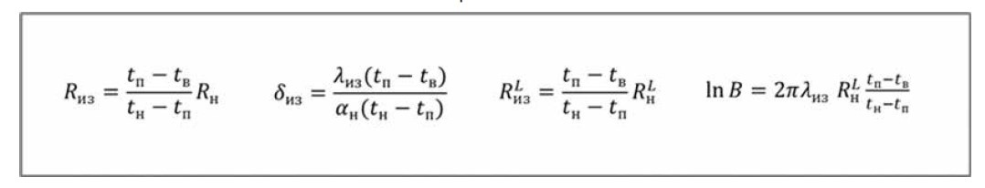
Метод основан на расчёте по формулам, изложенным в приложении В.2.4:

В приложении ещё есть очень удобная таблица В.4:

В таблице В.4 приведены расчётные перепады tн – tп, °C, которые зависят от температуры и влажности окружающего воздуха. И которые можно удобно использовать при расчёте толщины изоляции, так как tп – температура поверхности и в формуле расчётного перепада не что иное, как температура точки росы. Соответственно, теплоизоляция должна быть такой толщины, чтобы температура на её поверхности была выше температуры точки росы. Для примера: для трубопровода от внутреннего до внешнего блока кондиционера достаточно теплоизоляции толщиной 6 мм при температуре в помещении +20 °C и относительной влажности воздуха 70 %.

Для тех, кто не готов погружаться в мир формул каждый раз, когда дело доходит до расчёта толщины изоляционного слоя, компании-производители предлагают воспользоваться специально для этого разработанными программами расчёта. Такая программа «ROLS PROJECT 2.0» есть и у ROLS ISOMARKET. 5-7 минут на внесение данных и расчёт готов. (Таблица 1).

Программа также может помочь в оформлении рабочей документации, а именно: «Спецификации оборудования, изделий и материалов (ГОСТ 21.110-2013)» и «Техномонтажной ведомости (ГОСТ 21.405-93)».

Как правильно рассчитать диаметр и количество теплоизоляции?

С трубопроводами всё достаточно просто. Обычно в системах кондиционирования применяются медные трубы. Поэтому внутренний диаметр изоляционной трубки должен быть максимально близким к внешне-му диаметру трубопровода. (Таблица 2).

Количество погонных метров изоляционных трубок равно количеству метров трубопровода + 10 % в соответствии с ГЭСН (Государственные Элементные Сметные Нормы) 81-02-26-2020.

С изоляцией воздуховодов немного сложнее, так как они бывают круглые и прямоугольные. Для расчёта количества рулонной изоляции есть несложные формулы, которыми каждый может воспользоваться:

Какой материал выбрать для изоляции систем кондиционирования и вентиляции? Минеральная вата, каучук или полиэтилен?

Обычно для изоляции трубопроводов систем кондиционирования используют трубки из полиэтилена или каучука. Это связанно с тем, что у полимерных материалов закрытая ячеистая структура и, как следствие, высокая сопротивляемость к паропроницанию.

Для воздуховодов выбор материала зависит от множества факторов - где расположен изолируемый объект, какова температура изолируемой поверхности и окружающей среды, какие требования к пожарной безопасности и так далее.

Например, транзитные (межэтажные) воздуховоды в многоэтажных зданиях должны соответствовать классу пожарной безопасности (класс 0 или 0-1) согласно СНиП 41-01-2003. А такому классу соответствует только изоляция из минеральной ваты. Другой пример: квартира с канальным кондиционером, где вполне допустимо использование теплоизоляции из полимера.

Возможно ли снизить уровень шума в системе вентиляции при помощи теплоизоляции?

Теплоизоляция выполнена из пористых материалов и конечно является эффективным шумопоглощающим и вибродемпфирующим материалом. Однако, снижение уровня шума - это обычно целый комплекс мер с применением вибродемпфирующих вставок и шумоглушителей.

Возможно ли плавление изоляции из полиэтилена при применении их на фреонопроводах систем кондиционирования?

Температура фреона в кондиционере варьируется в диапазоне от +4 до +90 °C, а рабочая температура полиэтиленовой изоляции +95°C. Соответственно повредить в момент эксплуатации изоляцию невозможно.

Как защитить изоляцию от воздействия УФ?

К сожалению, любые полимерные изоляционные материалы разрушаются под воздействием ультрафиолета. УФ-лучи разрывают химические связи в полимерных цепях, образуя высокореактивные свободные радикалы, которые запускают цепную реакцию разрушения.

2-3 года и от изоляции не остаётся и следа. Для того чтобы предотвратить этот процесс, компании-производители рекомендуют использовать покровные ма-териалы, а также применять изоляцию и монтажную ленту, со специальными УФ-резистентными агентами, входящими в их состав.

Можно ли покрасить изоляцию на воздуховодах?

Такой вопрос обычно возникает, когда на объекте надо спрятать «страшные» трубы. Пенополиэтилен и каучук можно «раскрасить» алкидными красками или алкидной эмалью на водной основе. Такое покрытие не облезает, не осыпается и достаточно пожаробезопасно. Акриловые же краски и эмали осыпаются. А растворители нитрокраски негативно влияют на материал и нанесённые на изоляцию ухудшают её пожаробезопасные свойства. Есть фирменные решения от производителей изоляции. Но выбор цветов и доступность к покупке очень ограничена.

Какие самые частые ошибки можно выделить при монтаже теплоизоляции на системах вентиляции?

Эффективность теплоизоляции на 90 % определяется качеством монтажа. Разные материалы - разный подход. Разные требования компаний-производителей. Так как компания РОЛС ИЗОМАРКЕТ в основном производит теплоизоляцию из пенополиэтилена, то ответы будут про этот материал.
Во-первых. При производстве секций воздуховодов применяется минеральное масло.

Используемый для очистки воздуховодов перед наклеиванием рулона «Ацетон» или «646 растворитель» это масло убирает не всё. Как результат, через 5-6 дней изоляция отваливается по причине недостаточной адгезии. Использование рекомендованного «очистителя-разбавителя» с расходом всего 0,006 л/м2 игнорируется.

На вопрос: «Почему не применяли то, что рекомендует производитель?» Ответ чаще всего: «…что не знали про такие рекомендации…». Хотя ссылка на инструкцию по монтажу есть на каждой коробке!

Во-вторых. Монтаж при холодной погоде. Рекомендованная температура монтажа не ниже +10 °С.

Но инженерные сети и вентиляцию в том числе, монтируют в помещениях, в которых нет не только отопления, но и окон. Клей не схватывается. Изоляция отваливается. Всё приходится переделывать.

В-третьих. Особенность плотной полиэтиленовой изоляции в том, что в отличие от мягкого каучука и не менее мягкой минеральной ваты, такая изоляция не оборачивается вокруг воздуховода, а наносится на каждую его грань. После чего углы на стыках проклеиваются монтажной лентой. Но если обернуть, то вроде бы «прижатый» по началу материал через 4-5 дней отклеивается. И снова всё приходится переделывать.

Полную версию читайте в журнале HeatClub#1/2026

Больше нужной информации https://heatclub.ru