Найти Π² Π”Π·Π΅Π½Π΅

πŸ“š АлгСбраичСскиС Π΄Ρ€ΠΎΠ±ΠΈ ΠΈ ΠΈΡ… свойства 😎

ΠŸΡ€ΠΈΠ²Π΅Ρ‚, Π΄Ρ€ΡƒΠ·ΡŒΡ! πŸ‘‹ Если Π²Ρ‹ Π² 7 ΠΈΠ»ΠΈ 8 классС, Π²Ρ‹ навСрняка ΡƒΠΆΠ΅ Π²ΡΡ‚Ρ€Π΅Ρ‚ΠΈΠ»ΠΈΡΡŒ с этим Β«Π·Π²Π΅Ρ€Π΅ΠΌΒ» β€” алгСбраичСской Π΄Ρ€ΠΎΠ±ΡŒΡŽ. Π‘ Π²ΠΈΠ΄Ρƒ слоТно? πŸ€” На самом Π΄Π΅Π»Π΅, всё ΠΊΠ°ΠΊ Π² ΠΎΠ±Ρ‹Ρ‡Π½Ρ‹Ρ… дробях, Ρ‚ΠΎΠ»ΡŒΠΊΠΎ с Π±ΡƒΠΊΠ²Π°ΠΌΠΈ! Π”Π°Π²Π°ΠΉΡ‚Π΅ Ρ€Π°Π·Π±ΠΈΡ€Π°Ρ‚ΡŒΡΡ Π±Π΅Π· стрСсса ΠΈ с ΡƒΠ΄ΠΎΠ²ΠΎΠ»ΡŒΡΡ‚Π²ΠΈΠ΅ΠΌ. πŸš€ ΠŸΡ€Π΅Π΄ΡΡ‚Π°Π²ΡŒΡ‚Π΅ Π²Π°ΡˆΡƒ Π»ΡŽΠ±ΠΈΠΌΡƒΡŽ ΠΏΠΈΡ†Ρ†Ρƒ πŸ•, ΠΊΠΎΡ‚ΠΎΡ€ΡƒΡŽ Ρ€Π°Π·Ρ€Π΅Π·Π°Π»ΠΈ Π½Π° кусочки. ΠžΠ±Ρ‹Ρ‡Π½Π°Ρ Π΄Ρ€ΠΎΠ±ΡŒ β€” это 3/8 (Ρ‚Ρ€ΠΈ кусочка ΠΈΠ· восьми). АлгСбраичСская Π΄Ρ€ΠΎΠ±ΡŒ β€” это Ρ‚ΠΎΠΆΠ΅ самоС, Π½ΠΎ вмСсто чисСл ΠΌΠΎΠ³ΡƒΡ‚ Π±Ρ‹Ρ‚ΡŒ Π±ΡƒΠΊΠ²Ρ‹! Π’ΠΎΡ‚ ΠΊΠ°ΠΊ ΠΎΠ½Π° выглядит: (x + 5) / (y - 2) ΠΈΠ»ΠΈ (aΒ² - 9) / (3a) Π“Π΄Π΅: Π’ΠΎΡ‚ ваш Π³Π»Π°Π²Π½Ρ‹ΠΉ ΠΊΠ»ΡŽΡ‡ ΠΊ успСху! Π­Ρ‚ΠΈ свойства β€” точная копия ΠΏΡ€Π°Π²ΠΈΠ» для ΠΎΠ±Ρ‹Ρ‡Π½Ρ‹Ρ… Π΄Ρ€ΠΎΠ±Π΅ΠΉ. 1. ОсновноС свойство Π΄Ρ€ΠΎΠ±ΠΈ (Магия умноТСния ΠΈ дСлСния) ✨ Π”Ρ€ΠΎΠ±ΡŒ Π½Π΅ измСнится, Ссли Ρ‡ΠΈΡΠ»ΠΈΡ‚Π΅Π»ΡŒ ΠΈ Π·Π½Π°ΠΌΠ΅Π½Π°Ρ‚Π΅Π»ΡŒ ΡƒΠΌΠ½ΠΎΠΆΠΈΡ‚ΡŒ ΠΈΠ»ΠΈ Ρ€Π°Π·Π΄Π΅Π»ΠΈΡ‚ΡŒ Π½Π° ΠΎΠ΄Π½ΠΎ ΠΈ Ρ‚ΠΎ ΠΆΠ΅ Π²Ρ‹Ρ€Π°ΠΆΠ΅Π½ΠΈΠ΅ (ΠΊΡ€ΠΎΠΌΠ΅ нуля!). a/b = (a*c)/(b*c) ΠΈ (a:c)/(b:c) НапримСр:
(3x) / (5y) = (3x * 2) / (5y * 2) = (6x) / (10y) β€” просто ΡƒΠΌΠ½ΠΎΠΆΠΈΠ»ΠΈ Π½Π° 2. А Π²ΠΎΡ‚ ΠΏΠΎΠ»Π΅Π·Π½ΠΎΠ΅ ΠΏΡ€ΠΈΠΌΠ΅Π½Π΅Π½ΠΈΠ΅: Π‘ΠΎΠΊΡ€Π°Ρ‰Π΅Π½ΠΈΠ΅ Π΄Ρ€ΠΎΠ±Π΅ΠΉ! 🎯
(6a³b²) / (9a²b⁴) = (2 * 3 * a² * a * b²) / (3 * 3 * a² * b² * b²) = (2a) / (3b²)
ОглавлСниС

ΠŸΡ€ΠΈΠ²Π΅Ρ‚, Π΄Ρ€ΡƒΠ·ΡŒΡ! πŸ‘‹ Если Π²Ρ‹ Π² 7 ΠΈΠ»ΠΈ 8 классС, Π²Ρ‹ навСрняка ΡƒΠΆΠ΅ Π²ΡΡ‚Ρ€Π΅Ρ‚ΠΈΠ»ΠΈΡΡŒ с этим Β«Π·Π²Π΅Ρ€Π΅ΠΌΒ» β€” алгСбраичСской Π΄Ρ€ΠΎΠ±ΡŒΡŽ. Π‘ Π²ΠΈΠ΄Ρƒ слоТно? πŸ€” На самом Π΄Π΅Π»Π΅, всё ΠΊΠ°ΠΊ Π² ΠΎΠ±Ρ‹Ρ‡Π½Ρ‹Ρ… дробях, Ρ‚ΠΎΠ»ΡŒΠΊΠΎ с Π±ΡƒΠΊΠ²Π°ΠΌΠΈ! Π”Π°Π²Π°ΠΉΡ‚Π΅ Ρ€Π°Π·Π±ΠΈΡ€Π°Ρ‚ΡŒΡΡ Π±Π΅Π· стрСсса ΠΈ с ΡƒΠ΄ΠΎΠ²ΠΎΠ»ΡŒΡΡ‚Π²ΠΈΠ΅ΠΌ. πŸš€

πŸ€” Π§Ρ‚ΠΎ это Π²ΠΎΠΎΠ±Ρ‰Π΅ Ρ‚Π°ΠΊΠΎΠ΅?

ΠŸΡ€Π΅Π΄ΡΡ‚Π°Π²ΡŒΡ‚Π΅ Π²Π°ΡˆΡƒ Π»ΡŽΠ±ΠΈΠΌΡƒΡŽ ΠΏΠΈΡ†Ρ†Ρƒ πŸ•, ΠΊΠΎΡ‚ΠΎΡ€ΡƒΡŽ Ρ€Π°Π·Ρ€Π΅Π·Π°Π»ΠΈ Π½Π° кусочки. ΠžΠ±Ρ‹Ρ‡Π½Π°Ρ Π΄Ρ€ΠΎΠ±ΡŒ β€” это 3/8 (Ρ‚Ρ€ΠΈ кусочка ΠΈΠ· восьми).

АлгСбраичСская Π΄Ρ€ΠΎΠ±ΡŒ β€” это Ρ‚ΠΎΠΆΠ΅ самоС, Π½ΠΎ вмСсто чисСл ΠΌΠΎΠ³ΡƒΡ‚ Π±Ρ‹Ρ‚ΡŒ Π±ΡƒΠΊΠ²Ρ‹! Π’ΠΎΡ‚ ΠΊΠ°ΠΊ ΠΎΠ½Π° выглядит:

(x + 5) / (y - 2) ΠΈΠ»ΠΈ (aΒ² - 9) / (3a)

Π“Π΄Π΅:

  • (x + 5) ΠΈΠ»ΠΈ (aΒ² - 9) β€” Ρ‡ΠΈΡΠ»ΠΈΡ‚Π΅Π»ΡŒ (Ρ‚ΠΎ, Ρ‡Ρ‚ΠΎ свСрху, «сколько кусочков»)
  • (y - 2) ΠΈΠ»ΠΈ (3a) β€” Π·Π½Π°ΠΌΠ΅Π½Π°Ρ‚Π΅Π»ΡŒ (Ρ‚ΠΎ, Ρ‡Ρ‚ΠΎ снизу, Β«Π½Π° сколько частСй Π΄Π΅Π»ΠΈΠΌΒ»)
  • Π“Π»Π°Π²Π½ΠΎΠ΅ ΠΏΡ€Π°Π²ΠΈΠ»ΠΎ, ΠΊΠΎΡ‚ΠΎΡ€ΠΎΠ΅ нСльзя Π½Π°Ρ€ΡƒΡˆΠ°Ρ‚ΡŒ ❗: Π—Π½Π°ΠΌΠ΅Π½Π°Ρ‚Π΅Π»ΡŒ Π½Π΅ Π΄ΠΎΠ»ΠΆΠ΅Π½ Ρ€Π°Π²Π½ΡΡ‚ΡŒΡΡ Π½ΡƒΠ»ΡŽ! На ноль Π΄Π΅Π»ΠΈΡ‚ΡŒ нСльзя β€” это матСматичСскоС Ρ‚Π°Π±Ρƒ. 🚫 НапримСр, Π² Π΄Ρ€ΠΎΠ±ΠΈ 5/(x-2), x НЕ ΠΌΠΎΠΆΠ΅Ρ‚ Π±Ρ‹Ρ‚ΡŒ Ρ€Π°Π²Π΅Π½ 2.

πŸ”‘ 3 Π‘ΡƒΠΏΠ΅Ρ€-Бвойства, ΠšΠΎΡ‚ΠΎΡ€Ρ‹Π΅ Π Π΅ΡˆΠ°Ρ‚ ВсС Π—Π°Π΄Π°Ρ‡ΠΈ

Π’ΠΎΡ‚ ваш Π³Π»Π°Π²Π½Ρ‹ΠΉ ΠΊΠ»ΡŽΡ‡ ΠΊ успСху! Π­Ρ‚ΠΈ свойства β€” точная копия ΠΏΡ€Π°Π²ΠΈΠ» для ΠΎΠ±Ρ‹Ρ‡Π½Ρ‹Ρ… Π΄Ρ€ΠΎΠ±Π΅ΠΉ.

1. ОсновноС свойство Π΄Ρ€ΠΎΠ±ΠΈ (Магия умноТСния ΠΈ дСлСния) ✨

Π”Ρ€ΠΎΠ±ΡŒ Π½Π΅ измСнится, Ссли Ρ‡ΠΈΡΠ»ΠΈΡ‚Π΅Π»ΡŒ ΠΈ Π·Π½Π°ΠΌΠ΅Π½Π°Ρ‚Π΅Π»ΡŒ ΡƒΠΌΠ½ΠΎΠΆΠΈΡ‚ΡŒ ΠΈΠ»ΠΈ Ρ€Π°Π·Π΄Π΅Π»ΠΈΡ‚ΡŒ Π½Π° ΠΎΠ΄Π½ΠΎ ΠΈ Ρ‚ΠΎ ΠΆΠ΅ Π²Ρ‹Ρ€Π°ΠΆΠ΅Π½ΠΈΠ΅ (ΠΊΡ€ΠΎΠΌΠ΅ нуля!).

a/b = (a*c)/(b*c) ΠΈ (a:c)/(b:c)

НапримСр:
(3x) / (5y) = (3x * 2) / (5y * 2) = (6x) / (10y) β€” просто ΡƒΠΌΠ½ΠΎΠΆΠΈΠ»ΠΈ Π½Π° 2.

А Π²ΠΎΡ‚ ΠΏΠΎΠ»Π΅Π·Π½ΠΎΠ΅ ΠΏΡ€ΠΈΠΌΠ΅Π½Π΅Π½ΠΈΠ΅: Π‘ΠΎΠΊΡ€Π°Ρ‰Π΅Π½ΠΈΠ΅ Π΄Ρ€ΠΎΠ±Π΅ΠΉ! 🎯
(6a³b²) / (9a²b⁴) = (2 * 3 * a² * a * b²) / (3 * 3 * a² * b² * b²) = (2a) / (3b²)
Π’Ρ‹Ρ‡Π΅Ρ€ΠΊΠΈΠ²Π°Π΅ΠΌ ΠΎΠ±Ρ‰ΠΈΠ΅ ΠΌΠ½ΠΎΠΆΠΈΡ‚Π΅Π»ΠΈ (aΒ², bΒ², 3) β€” ΠΈ Π΄Ρ€ΠΎΠ±ΡŒ становится ΠΏΡ€ΠΎΡ‰Π΅!

2. Π‘Π»ΠΎΠΆΠ΅Π½ΠΈΠ΅ ΠΈ Π²Ρ‹Ρ‡ΠΈΡ‚Π°Π½ΠΈΠ΅ (Находим ΠΎΠ±Ρ‰ΠΈΠΉ язык!) βž•βž–

Π§Ρ‚ΠΎΠ±Ρ‹ ΡΠ»ΠΎΠΆΠΈΡ‚ΡŒ ΠΈΠ»ΠΈ Π²Ρ‹Ρ‡Π΅ΡΡ‚ΡŒ Π΄Ρ€ΠΎΠ±ΠΈ, Π½ΡƒΠΆΠ½ΠΎ привСсти ΠΈΡ… ΠΊ ΠΎΠ±Ρ‰Π΅ΠΌΡƒ Π·Π½Π°ΠΌΠ΅Π½Π°Ρ‚Π΅Π»ΡŽ.

a/c + b/c = (a+b)/c β€” Ссли Π·Π½Π°ΠΌΠ΅Π½Π°Ρ‚Π΅Π»ΠΈ ΡƒΠΆΠ΅ ΠΎΠ΄ΠΈΠ½Π°ΠΊΠΎΠ²Ρ‹Π΅, просто складываСм Β«Π²Π΅Ρ€Ρ…ΡƒΡˆΠΊΠΈΒ».
a/b + c/d = (a*d)/(b*d) + (c*b)/(d*b) = (ad + bc) / (bd) β€” Ссли Ρ€Π°Π·Π½Ρ‹Π΅, ΠΈΡ‰Π΅ΠΌ ΠΎΠ±Ρ‰ΠΈΠΉ Π·Π½Π°ΠΌΠ΅Π½Π°Ρ‚Π΅Π»ΡŒ.

НапримСр:
x/3 + y/5 = (5*x)/(5*3) + (3*y)/(3*5) = (5x + 3y)/15

3. Π£ΠΌΠ½ΠΎΠΆΠ΅Π½ΠΈΠ΅ ΠΈ Π΄Π΅Π»Π΅Π½ΠΈΠ΅ (ΠŸΡ€ΠΎΡ‰Π΅ простого!) βœ–οΈβž—

Π§Ρ‚ΠΎΠ±Ρ‹ ΡƒΠΌΠ½ΠΎΠΆΠΈΡ‚ΡŒ Π΄Ρ€ΠΎΠ±ΠΈ, ΠΏΠ΅Ρ€Π΅ΠΌΠ½ΠΎΠΆΡŒ числитСли ΠΈ Π·Π½Π°ΠΌΠ΅Π½Π°Ρ‚Π΅Π»ΠΈ ΠΎΡ‚Π΄Π΅Π»ΡŒΠ½ΠΎ.
Π§Ρ‚ΠΎΠ±Ρ‹
Ρ€Π°Π·Π΄Π΅Π»ΠΈΡ‚ΡŒ Π½Π° Π΄Ρ€ΠΎΠ±ΡŒ, ΡƒΠΌΠ½ΠΎΠΆΡŒ Π½Π° ΠΏΠ΅Ρ€Π΅Π²Ρ‘Ρ€Π½ΡƒΡ‚ΡƒΡŽ (ΠΎΠ±Ρ€Π°Ρ‚Π½ΡƒΡŽ) Π΄Ρ€ΠΎΠ±ΡŒ!

Π£ΠΌΠ½ΠΎΠΆΠ΅Π½ΠΈΠ΅: (a/b) * (c/d) = (a*c) / (b*d)
Π”Π΅Π»Π΅Π½ΠΈΠ΅: (a/b) : (c/d) = (a/b) * (d/c) = (a*d) / (b*c)

НапримСр:

  • Π£ΠΌΠ½ΠΎΠΆΠ΅Π½ΠΈΠ΅: (x/y) * (2/y) = (2x) / yΒ²
  • Π”Π΅Π»Π΅Π½ΠΈΠ΅: (a+b)/4 : (3/(a+b)) = ((a+b)/4) * ((a+b)/3) = (a+b)Β² / 12 β€” ΠΏΠ΅Ρ€Π΅Π²Π΅Ρ€Π½ΡƒΠ»ΠΈ Π²Ρ‚ΠΎΡ€ΡƒΡŽ Π΄Ρ€ΠΎΠ±ΡŒ ΠΈ ΡƒΠΌΠ½ΠΎΠΆΠΈΠ»ΠΈ!

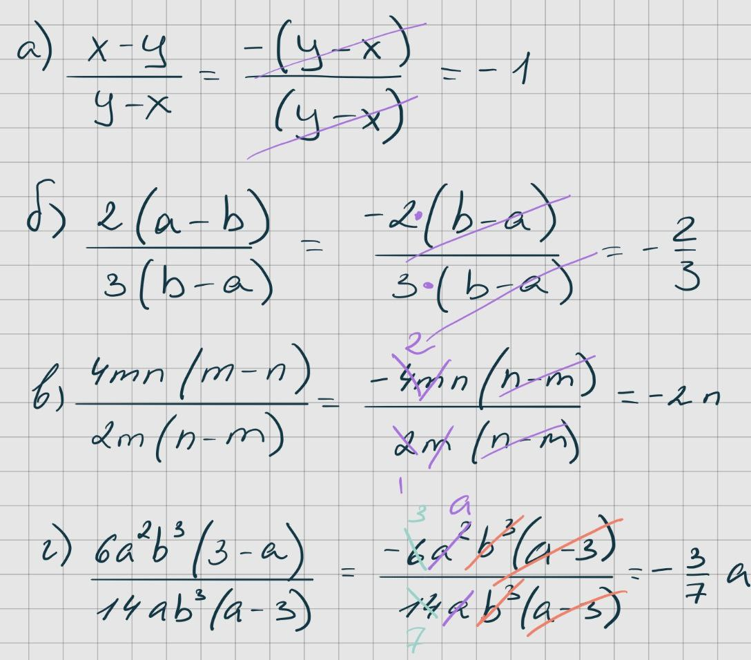
πŸ• ΠŸΡ€ΠΈΠΌΠ΅Ρ€Ρ‹ сокращСния Π΄Ρ€ΠΎΠ±Π΅ΠΉ

-2
-3
-4

πŸ› οΈ План-ΡˆΠΏΠ°Ρ€Π³Π°Π»ΠΊΠ° для Ρ€Π΅ΡˆΠ΅Π½ΠΈΡ Π·Π°Π΄Π°Ρ‡

  1. ΠžΠ”Π—! ΠŸΠ΅Ρ€Π²Ρ‹ΠΌ Π΄Π΅Π»ΠΎΠΌ запиши ΠžΠ±Π»Π°ΡΡ‚ΡŒ Допустимых Π—Π½Π°Ρ‡Π΅Π½ΠΈΠΉ β€” ΠΏΡ€ΠΈ ΠΊΠ°ΠΊΠΈΡ… значСниях Π±ΡƒΠΊΠ² Π·Π½Π°ΠΌΠ΅Π½Π°Ρ‚Π΅Π»ΡŒ НЕ Ρ€Π°Π²Π΅Π½ Π½ΡƒΠ»ΡŽ. Π­Ρ‚ΠΎ Ρ‚Π²ΠΎΠΉ ΡΠΏΠ°ΡΠ°Ρ‚Π΅Π»ΡŒΠ½Ρ‹ΠΉ ΠΊΡ€ΡƒΠ³! 🦺
  2. Π£ΠΏΡ€ΠΎΡΡ‚ΠΈΡ‚ΡŒ? ΠŸΠΎΠΏΡ€ΠΎΠ±ΡƒΠΉ Ρ€Π°Π·Π»ΠΎΠΆΠΈΡ‚ΡŒ Ρ‡ΠΈΡΠ»ΠΈΡ‚Π΅Π»ΡŒ ΠΈ Π·Π½Π°ΠΌΠ΅Π½Π°Ρ‚Π΅Π»ΡŒ Π½Π° ΠΌΠ½ΠΎΠΆΠΈΡ‚Π΅Π»ΠΈ (Ρ„ΠΎΡ€ΠΌΡƒΠ»Ρ‹ сокращённого умноТСния, вынСсСниС ΠΎΠ±Ρ‰Π΅Π³ΠΎ мноТитСля). Π§Π°Ρ‰Π΅ всСго это Π½ΡƒΠΆΠ½ΠΎ для сокращСния.
  3. ДСйствиС? ΠžΠΏΡ€Π΅Π΄Π΅Π»ΠΈ, Ρ‡Ρ‚ΠΎ Π½ΡƒΠΆΠ½ΠΎ ΡΠ΄Π΅Π»Π°Ρ‚ΡŒ: ΡΠ»ΠΎΠΆΠΈΡ‚ΡŒ, ΡƒΠΌΠ½ΠΎΠΆΠΈΡ‚ΡŒ ΠΈ Ρ‚.Π΄. Вспоминай Π½ΡƒΠΆΠ½ΠΎΠ΅ свойство.
  4. ΠŸΡ€ΠΈΠ²Π΅ΡΡ‚ΠΈ? Если Π±Ρ‹Π»ΠΎ слоТСниС/Π²Ρ‹Ρ‡ΠΈΡ‚Π°Π½ΠΈΠ΅ β€” ΠΏΡ€ΠΈΠ²Π΅Π΄ΠΈ ΠΊ ΠΎΠ±Ρ‰Π΅ΠΌΡƒ Π·Π½Π°ΠΌΠ΅Π½Π°Ρ‚Π΅Π»ΡŽ ΠΈ ΠΏΡ€ΠΈΠ²Π΅Π΄ΠΈ ΠΏΠΎΠ΄ΠΎΠ±Π½Ρ‹Π΅.
  5. Π‘ΠΎΠΊΡ€Π°Ρ‚ΠΈΡ‚ΡŒ? ΠŸΠΎΡΠΌΠΎΡ‚Ρ€ΠΈ Π½Π° Ρ€Π΅Π·ΡƒΠ»ΡŒΡ‚Π°Ρ‚ β€” ΠΌΠΎΠΆΠ½ΠΎ Π»ΠΈ Π΅Π³ΠΎ ΠΎΠΊΠΎΠ½Ρ‡Π°Ρ‚Π΅Π»ΡŒΠ½ΠΎ ΡƒΠΏΡ€ΠΎΡΡ‚ΠΈΡ‚ΡŒ?

πŸ’Ž Π“Π»Π°Π²Π½Ρ‹ΠΉ Π²Ρ‹Π²ΠΎΠ΄

АлгСбраичСскиС Π΄Ρ€ΠΎΠ±ΠΈ β€” это Π»ΠΎΠ³ΠΈΡ‡Π½ΠΎ ΠΈ систСмно! 🧠 Если Ρ‚Ρ‹ понял ΠΎΠ±Ρ‹Ρ‡Π½Ρ‹Π΅ Π΄Ρ€ΠΎΠ±ΠΈ, Ρ‚ΠΎ здСсь Ρ‚Π° ΠΆΠ΅ ΡΡƒΡ‚ΡŒ, просто с Π±ΡƒΠΊΠ²Π°ΠΌΠΈ.

НС бойся Π±ΡƒΠΊΠ² β€” ΠΎΠ½ΠΈ просто хранят мСсто для числа! КаТдая Π·Π°Π΄Π°Ρ‡Π° β€” это ΠΏΠ°Π·Π», ΠΊΠΎΡ‚ΠΎΡ€Ρ‹ΠΉ Ρ€Π΅ΡˆΠ°Π΅Ρ‚ΡΡ ΠΏΠΎ Π·Π½Π°ΠΊΠΎΠΌΡ‹ΠΌ ΠΏΡ€Π°Π²ΠΈΠ»Π°ΠΌ. 🧩

ΠŸΡ€Π°ΠΊΡ‚ΠΈΠΊΡƒΠΉΡ‚Π΅ΡΡŒ ΠΏΠΎΠ½Π΅ΠΌΠ½ΠΎΠ³Ρƒ ΠΊΠ°ΠΆΠ΄Ρ‹ΠΉ дСнь, ΠΈ скоро Π²Ρ‹ Π±ΡƒΠ΄Π΅Ρ‚Π΅ Ρ‰Ρ‘Π»ΠΊΠ°Ρ‚ΡŒ эти ΠΏΡ€ΠΈΠΌΠ΅Ρ€Ρ‹ ΠΊΠ°ΠΊ ΠΎΡ€Π΅ΡˆΠΊΠΈ! 🌟 Π£ вас всё получится! πŸ’ͺ

Π—Π°ΠΏΠΈΡΡ‹Π²Π°ΠΉΡ‚Π΅ΡΡŒ Π½Π° ΠΌΠΎΠΈ занятия β€” ΠΈ ΠΌΡ‹ вмСстС ΠΏΡ€Π΅Π²Ρ€Π°Ρ‚ΠΈΠΌ алгСбраичСскиС Π΄Ρ€ΠΎΠ±ΠΈ ΠΈΠ· ΡΡ‚Ρ€Π°ΡˆΠ½ΠΎΠ³ΠΎ монстра Π² вашСго Π²Π΅Ρ€Π½ΠΎΠ³ΠΎ ΠΏΠΎΠΌΠΎΡ‰Π½ΠΈΠΊΠ° для пятёрок! πŸ’―βœ¨