Найти в Дзене
РБК

Свойства степеней с доказательствами

Формулы и примеры решения Степень числа имеет важное значение в математике, так как часто появляется в различных расчетах — от простых алгебраических выражений до сложных научных формул. Вместе с учителями математики РБК Life разобрался, что такое степень числа и какие свойства степеней упрощают решение математических задач. Степень числа — это математическая операция, при которой число (основание) возводится в степень, то есть умножается само на себя определенное количество раз. В примере ab, a — основание, b — показатель степени. Например, в записи 34 число 3 — основание, а 4 — показатель степени. Значит, 34 = 3 × 3 × 3 × 3 = 81. Задача степени — сократить длинные произведения одинаковых множителей и упростить вычисления, особенно при работе с большими числами, формулами и научными записями. Представление о степени числа формировалось на протяжении веков. Древнегреческие математики применяли понятие в геометрии, хотя и обозначали степени не так, как мы делаем это сегодня. В III веке
Оглавление

Формулы и примеры решения

Степень числа имеет важное значение в математике, так как часто появляется в различных расчетах — от простых алгебраических выражений до сложных научных формул. Вместе с учителями математики РБК Life разобрался, что такое степень числа и какие свойства степеней упрощают решение математических задач.

Что такое степень числа

Степень числа — это математическая операция, при которой число (основание) возводится в степень, то есть умножается само на себя определенное количество раз.

В примере ab, a — основание, b — показатель степени. Например, в записи 34 число 3 — основание, а 4 — показатель степени. Значит, 34 = 3 × 3 × 3 × 3 = 81.

Задача степени — сократить длинные произведения одинаковых множителей и упростить вычисления, особенно при работе с большими числами, формулами и научными записями.

Представление о степени числа формировалось на протяжении веков. Древнегреческие математики применяли понятие в геометрии, хотя и обозначали степени не так, как мы делаем это сегодня. В III веке до н. э. в трудах Евклида появляется квадрат числа, то есть возведение во вторую степень. Позже Архимед развил и обобщил идею степеней. Он использовал степени для описания очень больших чисел. В XV веке Никола Шюке впервые использовал обозначение показателя степени как верхний индекс и ввел отрицательные значения степени. В XVII веке Рене Декарт утвердил запись аn, а Исаак Ньютон и Леонард Эйлер значительно расширили понятие, например, ввели дробные и иррациональные показатели [1].

Свойства степеней и корней

С натуральным показателем

Натуральный показатель — это показатель, который является натуральным числом. Натуральное число — это положительное целое число, например 1, 2, 3 и так далее. В математике натуральное число обычно записывают как n. Если a — любое число, то выражение an означает, что a умножается само на себя n раз. Например: 24 = 2 × 2 × 2 × 2 = 16.

Степень с натуральным показателем обладает свойствами, которые позволяют упрощать вычисления в примерах.

Свойство № 1: при умножении степеней с одинаковыми основаниями основание остается без изменений, а показатели степеней складываются. am × an = am + n, где a — любое число, m, n — любые натуральные числа. Например, 23 × 24 = 23+4 = 27 = 128.

Свойство № 2: при делении степеней с одинаковыми основаниями основание остается без изменений, а показатели степеней вычитаются. am : an = am – n, где a — любое число (кроме 0), m, n — любые натуральные числа. Например, 56 : 52 = 56 − 2 = 54 = 625.

Свойство № 3: при возведении степени в степень основание остается без изменений, а показатели перемножаются. (am) n = am × n. Например, (32) 4 = 32 × 4 = 38 = 6561.

Свойство № 4: при умножении степеней с разными основаниями, но одинаковыми показателями, основания перемножаются, а показатель остается прежним. an × bn = (a × b) n. Например, 23 × 53 = (2 × 5) 3 = 103 = 1000.

Свойство № 5: при делении степеней с разными основаниями, но одинаковыми показателями, основания делятся, а показатель остается прежним. an : bn = (а : b) n. Например, 62 : 32 = (6 : 3) 2 = 22 = 4 [2].

С рациональным показателем

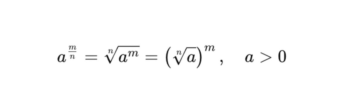
Рациональный показатель — это показатель степени, который является рациональным числом. Рациональное число — это число, которое можно представить в виде дроби: r = m : n, где m — целое число, n — натуральное. Показатель степени m : n эквивалентен возведению в степень m и дальнейшему извлечению корня степени n.

РБК Life📷Формула раскрытия дроби с рациональным показателем
РБК Life📷Формула раскрытия дроби с рациональным показателем

Все основные правила степеней с натуральным показателем также применимы и к рациональным показателям (при a > 0 и b > 0) [3].

Свойство № 1: при умножении степеней с одинаковыми основаниями основание остается без изменений, а рациональные показатели степеней складываются.

Свойство № 2: при делении степеней с одинаковыми основаниями основание остается без изменений, а рациональные показатели степеней вычитаются.

Свойство № 3: при возведении степени в степень основание остается без изменений, а рациональные показатели перемножаются.

Свойство № 4: при умножении степеней с разными основаниями, но одинаковыми рациональными показателями, основания перемножаются, а рациональный показатель остается прежним.

Свойство № 5: при делении степеней с разными основаниями, но одинаковыми рациональными показателями, основания делятся, а рациональный показатель остается прежним.

РБК Life📷Деление степеней с разными основаниями, но с одинаковыми рациональными показателями
РБК Life📷Деление степеней с разными основаниями, но с одинаковыми рациональными показателями

С целым показателем

Целый показатель — это показатель степени, который принадлежит множеству целых чисел: n ∈ Z = {…, −3,−2,−1, 0, 1, 2, 3,…}. Он может быть:

  • положительным (1, 2, 3, …) и означать повторное умножение основания самого на себя;
  • нулем (0) и определяет a0 = 1, при а ≠ 0;
  • отрицательным (−1, −2, −3, …) и определяет a−n = 1 : an, что означает обратную степень с положительным показателем [4].

Все основные свойства степеней с положительным целым показателем повторяют свойства степеней с натуральным показателем.

Свойство № 1: при умножении степеней с одинаковыми основаниями основание остается тем же, а показатели (в том числе и отрицательные) складываются по обычным правилам сложения чисел. Например, 5–2 × 53 = 5–2+3 = 51 = 5.

Свойство № 2: при делении степеней с одинаковыми основаниями основание остается без изменений, а показатели (в том числе и отрицательные) вычитаются по обычным правилам сложения чисел. Например, 3−2 : 3–5 = 3−2− (−5) = 33 = 27.

Свойство № 3: при возведении степени в степень основание остается без изменений, а показатели перемножаются — даже если они отрицательные. Здесь важно помнить, что отрицательное число, умноженное на отрицательное, дает положительное. Например, (5−1) −2 = 5 (−1) x (−2) = 52 = 25.

Свойство № 4: при умножении степеней с разными основаниями, но одинаковыми отрицательными показателями, основания перемножаются, а показатель остается тем же. Например, 3−2 × 4−2 = (3 × 4) −2 = 12−2 = 1 : 122 = 1/144.

Свойство № 5: при делении степеней с разными основаниями, но одинаковыми отрицательными показателями, основания делятся, а показатель остается тем же. Например, 10−3 : 2–3 = (10 : 2) −3 = 5−3 = 1 : 53 = 1 : 125.

Степени нуля и единицы

Любое число в первой степени равно самому себе: a1 = а. Например, 61 = 6.

Любое число, кроме 0, в нулевой степени равно 1: a0 = 1. Например, 30 = 1.

Ноль в любой положительной степени равен нулю: 0n = 0, если n > 0. Например, 03 = 0.

00 вызывает споры даже среди математиков. Некоторые из них считают, что 00 = 1, это удобно, например, при работе с формулами в комбинаторике и матанализе. Другие полагают, что по логике степеней 00 = 0. В школьной математике принято считать, что 00 не определено, так как результат зависит от контекста, в котором используется выражение [5].

Доказательства свойств степеней

Свойства степеней логически выводятся на основе определений и других известных свойств чисел. Ниже приведены краткие доказательства первого и второго свойств для степеней с натуральным показателем.

Доказательство свойства № 1: am × an = am+n, где a ≠ 0, m и n — натуральные положительные числа.

Обоснование: по определению степени с натуральным показателем аm = a × a × a × a (m раз), аn = a × a × … × a (всего n раз). При умножении аm на аn мы соединяем два произведения: am × an = (a × a × … × a (m раз) ) × (a × a × … × a (n раз) ) = a × a × … × a (m + n раз) = am+n.

Например, 23 × 22 = 8 × 4 = 32 и 23 × 22 = 25 = 32 — значения совпадают [6].

Доказательство свойства № 2: am : an = am–n, где a ≠ 0, m и n — натуральные положительные числа.

Обоснование: по определению степени с натуральным показателем аm = a × a × … (m раз), аn = a × a × … × a (всего n раз). При делении аm на аn мы делим два произведения: am : an = (a × a × … × a (m раз) ) : (a × a × … × a (n раз) ) = a × a × … × a (m – n раз) = am–n.

Например, 35 : 32 = 243 : 9 = 27 и 35 : 32 = 33 = 27 — значения совпадают.

Примеры действий со степенями

Примеры умножения степеней с одинаковым основанием:

  • 2³ × 2⁴ = 2⁷ = 128
  • 10⁴ × 10–2 = 10² = 100
  • 5⁰ × 5–3 = 1 × 5–3 = 5–3 = 1/125
  • 272/3 × 274/3 = 276/3 = 272 = 729

Примеры деления степеней с одинаковым основанием:

  • 2⁵ : 2² = 25–2 = 2³ = 8
  • 10⁷ : 10–3 = 107– (–3) = 107+3 = 1010= 10 000 000 000
  • 7⁰ : 7² = 70–2 = 7–2 = 1/49

Сложение степеней возможно упростить только при полностью одинаковых основаниях и показателях — тогда это будет умножение степени на число: 32 + 32 + 32 = 3 × 32 = 33 = 27. В остальных случаях степени складывать «по степеням» нельзя: 2³ + 2⁴ = 8 + 16 = 24.

Вычитание степеней возможно упростить только при полностью одинаковых основаниях и показателях — тогда это будет вычитание одинаковых чисел: 42 − 42 = 16 − 16 = 0. В остальных случаях степени вычитаются как обычные числа: 34 − 32 = 81 − 9 = 72.

Сокращение степеней возможно только при делении степеней с одинаковыми основаниями — в этом случае показатели вычитаются: 65 : 62 = 65−2 = 63 = 216 и 56 × 73 : 52 = 54 × 73 = 625 × 343 = 214375.

Читайте также:

Иран раскрыл количество погибших при протестах
Кремль ответил на данные о начале переговоров России, Украины и США
Rendez-Vous ответила на обвинения по зарплатам на фоне тура в Куршевель

Наука
7 млн интересуются