Найти в Дзене
⚡ Инженерные Знания

Почему квантовые частицы падают вниз не так, как обычное тело?

В квантовом мире всё работает шиворот-навыворот. Касается это и гравитации. Во многом этот материал позволит вам понять, почему столько разговоров про Теорию Всего и что является отправной точкой в противоречиям в работе обычной теории. Как это бывает часто - достаточно просто задуматься над простым вопросом. А как падает квантовая частица? Когда мы говорим о свободном падении, в классической физике всё кажется очевидным и логичным. Тело ускоряется под действием силы тяжести, его траектория понятна, а ускорение в обычном случае равно g. Но в квантовой механике тело - это уже даже не точка, а волновая функция, распределённая в пространстве. Как вообще выглядит свободное падение для квантовой частицы? Именно здесь неожиданно сходятся квантовая механика и общая теория относительности. Хотя они не должны были бы так делать, ведь это путь в сторону Теории Всего. В общей теории относительности гравитация - это не сила, а проявление кривизны пространства-времени. А свободное падение — это не

В квантовом мире всё работает шиворот-навыворот. Касается это и гравитации. Во многом этот материал позволит вам понять, почему столько разговоров про Теорию Всего и что является отправной точкой в противоречиям в работе обычной теории. Как это бывает часто - достаточно просто задуматься над простым вопросом. А как падает квантовая частица?

Когда мы говорим о свободном падении, в классической физике всё кажется очевидным и логичным. Тело ускоряется под действием силы тяжести, его траектория понятна, а ускорение в обычном случае равно g. Но в квантовой механике тело - это уже даже не точка, а волновая функция, распределённая в пространстве.

Два типа частиц
Два типа частиц

Как вообще выглядит свободное падение для квантовой частицы?

Именно здесь неожиданно сходятся квантовая механика и общая теория относительности. Хотя они не должны были бы так делать, ведь это путь в сторону Теории Всего.

В общей теории относительности гравитация - это не сила, а проявление кривизны пространства-времени. А свободное падение — это не движение под действием гравитации, а движение по геодезической, то есть по прямой линии в искривлённом пространстве-времени.

Главный вывод принципа эквивалентности:

В локальной системе отсчёта, находящейся в свободном падении, гравитация исчезает.

Такая система называется локальной инерциальной системой отсчёта. В ней гравитационное ускорение равно нулю, а все тела ведут себя так, как будто гравитации нет вовсе.

Это утверждение справедливо для любых физических законов, включая квантовую механику.

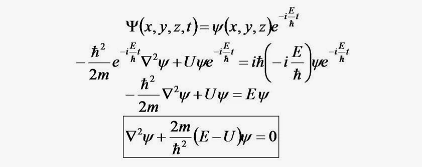
При этом в квантовой механике состояние частицы описывается волновой функцией, которая подчиняется уравнению Шрёдингера. Если добавить ньютоновскую гравитацию, в уравнении появляется потенциал. Волновая функция "наклоняется", появляются фазовые сдвиги, интерференция меняется. Но это описание всегда зависит от системы отсчёта.

Уравнение Шрёдингера
Уравнение Шрёдингера

Если мы переходим в систему отсчёта, которая падает вместе с частицей, происходит удивительная вещь. Гравитационный потенциал исчезает, уравнение Шрёдингера снова принимает форму уравнения для свободной частицы, а волновая функция эволюционирует так, как будто частица находится в пустом пространстве.

Иначе говоря:

В свободном падении квантовая частица не “чувствует” гравитацию.

Её волновой пакет расплывается со временем, интерферирует и подчиняется тем же законам.

Это становится понятным, если взглянуть на ситуацию геометрически Пространство-время вблизи массивного тела искривлено. Но если рассматривать достаточно малую область, то любая гладкая кривая при увеличении масштаба становится почти прямой.

Если вы стоите на поверхности Земли, она кажется плоской (и вообще Земля плоская, только никому не говорите... шутка). Кривизна заметна только на больших расстояниях. Точно так же в малой области пространство-время выглядит как пространство Минковского (оно считайте плоское) и метрика становится почти плоской, а законы относительности и квантовой механики работают без поправок.

Это означает, что гравитация локально устранима, а потому в стандартной квантовой теории она просто не появляется как фундаментальная сила.

Однако гравитация не исчезает полностью. Остаются приливные силы - следствие того, что кривизна пространства-времени всё же не нулевая.

Конус Минковского
Конус Минковского

Для квантовой частицы это означает, что разные части волновой функции могут испытывать слегка разные ускорения, а при достаточно больших размерах волнового пакета возможна деформация и фазовая декогеренция.

Но в лабораторных масштабах эти эффекты ничтожно малы, а именно поэтому квантовые эксперименты (интерференция, туннелирование) прекрасно работают даже в гравитационном поле Земли.

Теперь становится ясно, почему квантовая механика исторически развивалась без гравитации. Квантовые эффекты проявляются на микроскопических масштабах, кривизна пространства-времени на этих масштабах пренебрежимо мала, а локально пространство-время всегда можно считать плоским.

Гравитация становится принципиально важной только когда плотность энергии приближается к планковской, радиусы кривизны становятся сравнимыми с квантовыми длинами, а флуктуации метрики становятся самими квантовыми объектами.

Вблизи сингулярностей ситуация меняется радикально. Там пространство-время больше нельзя утрировать до плоскости, сама геометрия испытывает квантовые флуктуации и возникает представление о квантовой пене - хаотической структуре пространства-времени на планковских масштабах.

В такой среде понятие классической геодезической теряет смысл, стандартное уравнение Шрёдингера неприменимо и требуется теория квантовой гравитации.

Свободное падение - это не особый вид движения, а отсутствие гравитации в локальном смысле. Поэтому квантовая частица в свободном падении ведёт себя как свободная, её волновая функция эволюционирует так же, как в пустом пространстве, сама гравитация проявляется только через кривизну и приливные эффекты, но на квантовых масштабах эта кривизна почти всегда незаметна.

И лишь там, где пространство-время само становится квантовым объектом, привычная физика окончательно перестаёт работать и начинается территория, где мы всё ещё не знаем, какие уравнения нужно написать.

Множество интересных явлений из физики частиц я разбираю в премиум-разделе проекта.

👍 Не забывайте подписываться и ставить лайки статье! Это важно для развития проекта.

Канал проекта в Telegram с эксклюзивными материалами