Найти в Дзене
Политота и не только

Уберите детей от мониторов

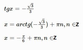
Простой вопрос яндексу - было интересно, что найдется поиском на такое простое уравнение. Алиса превзошла все ожидания. Смотрите первый скрин. А на втором - реальный ответ при правильном решении этого элементарного уравнения. Вы всё еще хотите ИИ в школы? PS. Кто не понял, сам ход решения Алисы дикий, но на 4 шаге начинаются просто ошибки.

Уберите детей от мониторов.

Простой вопрос яндексу - было интересно, что найдется поиском на такое простое уравнение. Алиса превзошла все ожидания. Смотрите первый скрин. А на втором - реальный ответ при правильном решении этого элементарного уравнения.

Вы всё еще хотите ИИ в школы?

PS. Кто не понял, сам ход решения Алисы дикий, но на 4 шаге начинаются просто ошибки.

-2