Найти в Дзене
От Верховной жрицы

Пифагор против Эйнштейна. Часть шестая.

Второй закон ФП – закон ИМПУЛЬСАЦИИ и РАЗВИТИЯ – закон «единицы» и «двойки»): «Материя существует в постоянном прогрессирующем движении(прогресс обусловлен постоянным увеличением количества импульсов: цифра «1» - ИМПУЛЬСАЦИЯ; цифра «2» - РАЗВИТИЕ), поэтому материю без развития изучать нельзя». Формула:«Ноль стремится к бесконечности». Общефизическое обоснование: «Любая замкнутая система стремится перейти в такое состояние, где ее потенциальная энергия минимальна» (следствие из Закона Сохранения Энергии), т.е. здесь: Первичный взрыв – переход потенциальной энергии Первичной точки (ноля) в кинетическую энергию взрыва. «Монада – сущность Бога. Диада – это производительное раскрытие Бога в пространстве и времени. С момента появления Бог двойственен: неразделимая сущность и разделимая субстанция. Разделимая субстанция – это мужское в Боге: активное и ограниченное. Неразделимая сущность – женское: пассивное, пластичное, текучее и неограниченное. «Юпитер (Бог) одновременно и Супруг, и божест

Второй закон ФП – закон ИМПУЛЬСАЦИИ и РАЗВИТИЯ – закон «единицы» и «двойки»): «Материя существует в постоянном прогрессирующем движении(прогресс обусловлен постоянным увеличением количества импульсов: цифра «1» - ИМПУЛЬСАЦИЯ; цифра «2» - РАЗВИТИЕ), поэтому материю без развития изучать нельзя».

Формула:«Ноль стремится к бесконечности».

Общефизическое обоснование: «Любая замкнутая система стремится перейти в такое состояние, где ее потенциальная энергия минимальна» (следствие из Закона Сохранения Энергии), т.е. здесь: Первичный взрыв – переход потенциальной энергии Первичной точки (ноля) в кинетическую энергию взрыва.

«Монада – сущность Бога. Диада – это производительное раскрытие Бога в пространстве и времени. С момента появления Бог двойственен: неразделимая сущность и разделимая субстанция. Разделимая субстанция – это мужское в Боге: активное и ограниченное. Неразделимая сущность – женское: пассивное, пластичное, текучее и неограниченное. «Юпитер (Бог) одновременно и Супруг, и божественная Супруга», - сказал Орфей. Монада – сущность Бога. Диада – его производительное свойство, это видимое раскрытие Бога в пространстве и во времени» (Пифагор).

Согласно «Теории Большого взрыва», Вселенная возникла из ничтожно малой по объему, но чрезвычайно плотной субстанции, которую можно обозначить точкой: (.) = О –ПЕРВИЧНАЯ ТОЧКА. Произошел взрыв – началось развитие. Однако, этот взрыв – не мгновенное рассосредоточение и разбавление сверхплотного вещества: какова бы «скорость взрыва» не была, на это требуется определенное время.

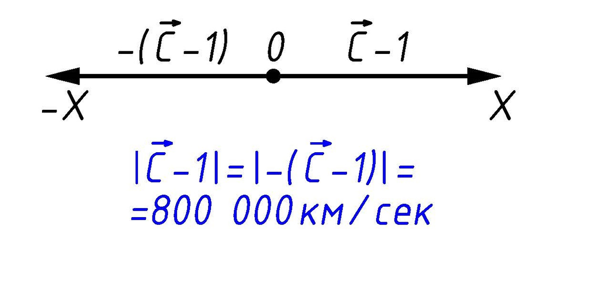
Ps. Скорость света от первичного взрыва равна приблизительно 800 000 километров в секунду, что можно вычислить с помощью правила Золотого сечения (см. в конце книги). Вселенная, возникшая из сверхплотного вещества - назовем его ПРАМАТЕРИЕЙ- до сих пор продолжает расширяться. Следовательно, количество праматерии огромно и до сих пор не израсходовалось – Большой взрыв еще не закончен.

Сначала в результате этого взрыва возникла ось OХ: в двух противоположных направлениях два луча ПЕРВИЧНОГО СВЕТА с большой скоростью С-1 пошли в бесконечность (в силу реактивного движения, отталкиваясь друг от друга). Так образовалась ось ОХ («длина») и одномерное пространство(пространство от выражения «странствовать вперед», ) ОХ (косвенное доказательство: в черных дырах образование сверхновых звезд происходит именно таким образом) в двух экземплярах (рис. 2).

рис 2
рис 2

Скорости первичного света равны по модулю и противоположны по направлению.

Первичный свет создает ПЕРВОЕ ИЗМЕРЕНИЕ - линию(луч ОХ – «длина»), которая уходит в бесконечность (косвенное доказательство того, что ноль стремится к бесконечности). Первичный световой поток имеет индуктивные токи в результате «вязкости» света (все, что течет, имеет вязкость – аналогия: «у берегов течение слабее, чем в середине реки»). За счет индуктивных токов образуется первичный угол поворота света – цифра «1»,так как в силу способности к поляризации выделяются колебания, совершающиеся только в одной плоскости. Образование угла – главное событие 2 закона. Первичный угол образуется потому, что при большой скорости первичного света его индуктивные «токи» по инерции будут отклоняться назад (от большой скорости их «сносит» из-за «вязкости» света). Скорость этого индуктивного света будет меньше скорости первичного света – это ВТОРИЧНЫЙ СВЕТ, или С-2 (С-2 < C-1) – «течение у берегов меньше».

Рис. 3. Закон единицы – процесс, это интервал между началом взрыва и образованием оси OY.

рис 3
рис 3

продолжение слелдует - здесь